中位数
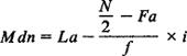
也叫中数。 描述统计中描述集中趋势的量数之一。用符Mdn表示。 中数把所有的数分为个数相等的两个部分。对于未分组的数据,可把数据按大小顺序排列,如果数据个数为奇数个,则中数就是位置居于中间的那个数,在它的两边有相等个数的数据。 如1,2,3,4,5,这5个数,中位数是3。如果数据个数为偶数,则中间两个数和的一半的为中数。 如,4,5,6,7,8,9这6个数的中位数是(6+7)/2=6.5。对于已分组的数据,中数可通过下列公式求得:  其中:La——中数所在组的精确上限 Fa——中数所在组精确上限以上的数据个数 i——组距 f-中数所在组的数据个数 N——数据总次数 |