中、高浓度纸浆浓度的测量计算
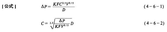
[说明]适用于浆浓大于1~1.5%的浆料浓度的测量计算。 1.根据测量纸浆管段压力损失估算浆浓 [说明]对于浆浓大于2%和流速高于0.3m/s的浆料,其纸浆浓度可根据管段压力损失进行经验计算。  式中 △P——纸浆管段压力损失(m) C——纸浆浓度(%) K——常数 F——常数 F=F1F2F3 (4-6-3) F1——纸浆种类常数;草浆、漂白亚硫酸盐浆为0.7以上,未筛选机械木浆为1.5以下 F2——常数;取决于纸浆pH值: 当pH<8时,F2=1 当pH>8.5时,F2=0.7 F3——温度常数 F3=(1.408-0.0108)t (4-6-4) t——温度(℃);当t=37.7°时,F3=1 V——纸浆在管道中流速(m/s) D——管道内径(m) 2.流线型变送器的计算 [说明]流线型变送器,基本上都是测量剪切应力,它取决于纸浆浓度。对于“放射状圆铁”型变送器而言,纸浆浓度和作用在敏感元件上的力是非线性的,可由经验公式计算。 [公式] log4F=-K+1.040C-1.382C2 (4-6-5) 式中 F——作用在敏感元器件上的力(kg/cm2) C——浆浓(%) K——常数,取决于纸浆种类和变化范围,其值为0.2180~0.8377;纸浆纤维长度及强度越大,则剪切力越大,取大值,反之取小值;纸浆打浆度能成倍地降低作用在变送器上的力 |