个体指数
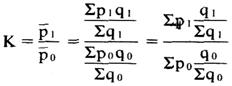
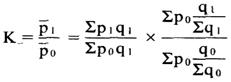
亦称“单项指数”。 一般指反映个别社会经济现象的动态相对数。它是个别社会经济现象的报告期水平(或规模)与基期水平(或规模)对比的结果。计算个体指数,用以对比的指标可以是数量指标,也可以是质量指标;可以是时期指标,也可以是时点指标;可以是绝对指标;也可以是平均指标。当对比的指标是质量指标,并且是算术平均指标,此时测算的个体指数,受两期变量值和权数结构变动的影响。 如欲反映两期变量值因素的变动,就必须消除权数结构变动的影响。例如,设 代表报告期的平均价格, 代表基期的平均价格,q1代表报告期的物量,q0代表基期的物量,K为单项价格指数。  可见,用某种商品的平均价格编制的个体物价指数,是一种结构变动的物价指数。对此指数可分解为物量结构不变的个体价格指数与物量结构变动影响指数如下:  个体指数一般用于:(1)说明个别社会经济现象变动的程度和趋向;(2)作为对总指数和类指数的补充和说明;(3)作为测算加权平均总指数的基本条件和出发点。 |