网站首页  词典首页


请输入您要查询的字词:

 

字词 两阶段法
类别 中英文字词句释义及详细解析
释义 两阶段法

线性规划问题中,当约束条件中加入人工变量后的另一种处理算法(计算效果同“大M法”)。

对引入了人工变量的线性规划问题,分两阶段求解。

第一阶段:先求解辅助线性规划问题,判断原线性规划问题是否存在基本可行解。

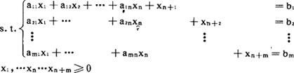
设原模型约束条件标准化后为:

其中xn+1…Xn+m为引入的人工变量

则辅助规划问题为在上述约束下,求解目标函数为:

MinZ′=Xn+1+Xn+2+…+Xn+m的线性规划问题。

若求解得到Z′=0,表示原问题已得到一个基本可行解,可转入第二阶段运算。若求解得Z′>0,表示原问题无可行解,应停止运算。

第二阶段:将第一阶段最终计算表中的目标函数系数行的数字,换成原问题的目标函数系数的数字(人工变量此时可去掉)。这就得到了求解原问题的初始计算表,再按正常方法求解。

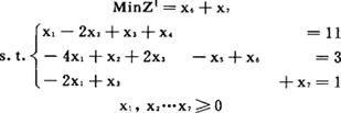
例,对“大M法”中所举例题用“两阶段法”求解。

第一阶段:求解模型

求解出

X1=0,

X2=1,

X3=1,

X4=12,

X5=0,

X6=X7=0,

Z′=0。

以上述最终表转入第二阶段计算:

最优解为:X1*=4,X2*=1,X3*=9,Z*=-2

随便看

 

离鸟网收录3541549条中英文词条,其功能与新华字典、现代汉语词典、牛津高阶英汉词典等各类中英文词典类似,基本涵盖了全部常用中英文字词句的读音、释义及用法,是语言学习和写作的有利工具。

 

Copyright © 2004-2024 vtrois.com All Rights Reserved
更新时间:2026/4/20 0:41:03