网站首页  词典首页


请输入您要查询的字词:

 

字词 两圆的公切线
类别 中英文字词句释义及详细解析
释义 两圆的公切线

1.两圆内切时,有一条公切线;

2.两圆外切时,有三条公切线;

3.两圆相交时,有两条公切线;

4.两圆相离时,有四条公切线;

5.两圆内含时,无公切线.

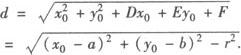
过圆外一点P(x0,y0)引圆(标准方程,一般方程)的切线长为

例1 当m为何值时,直线mx—y—m1=0与圆x2+y2—4x—2y+1=0相交,相切,相离.

解 由已知得圆心坐标为(2,1),半径r=2,圆心(2,1)到直线mx—y—m—1=0的距离d为

点评 凡涉及到与圆有关的距离问题,都可以转化为圆心到直线的距离来研究,这就是几何法,本题还可以用方程的思想求解,即使用判别式法.

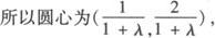
例2 求过直线l∶2x+y+4=0与圆C∶x2+y2+2x—4y+1=0的交点,且面积最小的圆的方程.

解 设过圆C和直线l的交点的圆的方程为x2+y2+2x—4y+1+λ(2x+y+4)=0(λ为参数),即[x+(1+λ)]2+(y+因为所求圆的面积S=πr2最小,故只需使得r2最小.

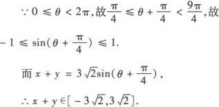
例3 已知圆x2+y2=9上的点(x,y),求x+y的取值范围.

解 设x=3cosθ,y=3sinθ(θ∈[0,2π)),则

点评 参数法类似于换元法,在引入参数时一定要注意参数的取值范围.

例4 若直线y=x+k与曲线x=恰有一个公共点,求k的取值范围.

解 曲线表示的是半圆,而不是完整的圆.

如上图A(0,1)、B(0,—1)、F(1,0),CE为y=x+k与x2+y2=1相切的位置,则

显然,—1

例5 已知两个圆C1∶x2+y2=4,C2∶x2+y2—2x—4y+4=0,直线l∶x+2y=0,求经过C1和C2的交点且和l相切的圆的方程.

解 设所求圆的方程为

x2+y2—2x—4y+4+λ(x2+y2—4)=0,

即(1+λ)x2+(1+λ)y2—2x—4y+4(1—λ)=0,

半径为

随便看

 

离鸟网收录3541549条中英文词条,其功能与新华字典、现代汉语词典、牛津高阶英汉词典等各类中英文词典类似,基本涵盖了全部常用中英文字词句的读音、释义及用法,是语言学习和写作的有利工具。

 

Copyright © 2004-2024 vtrois.com All Rights Reserved
更新时间:2026/4/18 22:33:27