网站首页  词典首页


请输入您要查询的字词:

 

字词 影子价格
类别 中英文字词句释义及详细解析
释义

影子价格

又称“隐含价格”、“边际价格”、“机会成本”。指社会资源或产品的配置约束量变动一单位的最大社会总收益的边际变化值,与市场价格相对称。影子价格包括了防治污染费用、资源稀缺性因素和环境价值因子。在世界范围内,尤其是发达国家,已成为决定产品价格的一个重要因素,是最优计划价格和客观价格,反映了资源和产品对全社会的经济效果和社会效益、环境效益。作为核算工具,可以摆脱现实价格的不合理因素,寻求有利于环境、资源保护的社会产出结构、投资结构、产业结构等方面的优化,或者直接对投资项目进行效益评价,对若干产品进行长短线分析,真正弄清供求矛盾突出的产品究竟应该通过调整投入以调整供给,还是应通过调整价格以调整需求。

影子价格shadow price

运用线性规划方法计算出来的反映资源最优配置的一种虚拟价格。是对每单位生产资源在特定生产条件下最优配置时所获得的边际收益的估价。从数学意义上看,它是最优规划的对偶解,是总收益对某种资源或产品的一阶偏导数。影子价格不同于由市场竞争决定的市场价格,它的高低主要与资源在生产活动中的重要性及其稀缺程度有关。凡投入生产能带来的边际收益越大而供应紧张的稀缺资源,其影子价格越高,供大于求,拥有量过剩,对生产活动没有限制作用的资源,其影子价格为零。影子价格说明了生产资源对生产活动作用的大小,根据影子价格可以确定生产资源是否得到了合理利用。影子价格的概念是20世纪中期由荷兰计量经济学者丁伯根 (J.Tinbergen)和俄罗斯经济学家康托洛维奇(Л.В.Конторовнч)分别提出的。

影子价格

没有市场价格的物品和劳务的一种归与价值,表示一般不经过市场交换的物品的机会成本。

影子价格Shadow Price

又称内在价格、效率价格或最优价格。意指反映资源配置状况的价格。因为追加投入可以反映资源的配置状况。所以,具体地讲,影子价格是指在其他投入不变的情况下,每增加一单位的某种资源的投入所带来的追加收益。也就是说,影子价格等于资源投入的边际收益。短缺资源的影子价格较高。影子价格越高,表明短缺程度越大。充裕资源的影子价格为零。影子价格受资源的供应状况面发生变化,当资源量增加时,影子价格下降;当资源量减少时,影子价格上升。影子价格有时也用于指机会成本或完全竞争条件下形成的均衡价格。影子价格这一概念最早是由荷兰经济学家丁伯根提出的,它对于合理配置资源、选择投资项目、制定价格政策等,可以起到重要的作用。

影子价格

又称“计算价格”、“最优计划价格”,一般指用线性规划的数学方法计算出来的反映社会资源最优使用效果的虚拟价格。影子价格理论是在20世纪30年代末和40年代初由荷兰经济学家詹恩·丁伯根和苏联经济学家列·维·康托罗维奇分别提出来的,前者称之为影子价格,后者称之为最优计划价格。它们的内容和方法基本相同,都是应用线性规划法把资源使用与价格联系起来,合理反映和评价劳动产品、自然资源和劳动力等社会资源。对于任何企业或国家来说,资源都不是无限的,最优的计划应该是充分利用这有限的资源来取得最大的社会经济效益。用线性规划计算出来的影子价格,是指在投入的其他资源保持不变的条件下,某种资源的投入量每增加一个单位所带来的收益增加量,资源越是稀缺;每增加一个单位可增加较多的收益,其影子价格越高;反之越低;可充分满足需要的资源,其影子价格为零。影子价格反映了资源的稀缺程序。影子价格的另一种意义是指一切不同于现行价格的计算,它被广泛用于评价投资项目和进出口活动的经济效果。它可以在计算时排除现行价格由于受到各种干扰而出现的不合理成分,较少失真地评价这些活动的经济效果。影子价格还被运用于联合企业内部的结算以及其他方面的计算。詹恩·丁伯根的影子价格理论以边际效用论为基础,被视作一种经营管理方法用于自由经济中的分散决策,流行于西方资本主义国家; 列·维·康托罗维奇的最优计划价格理论同劳动价值论相联系,作为一种价格形成理论,主要用于计划经济中的集中决策,流行于计划经济国家。影子价格有助于国家和企业通过定量分析来调整资源的配置与利用,为选择最佳经济计划提供有一定参考作用的理论依据。

影子价格

亦称“最优计划价格”、“会计价格”、“经济价格”或“计算价格”。它是在社会最优的生产组织情况下,供应与需求达到均衡时的产品和资源的价格,它可以通过解数学规划的方法来求得。当市场价格较真实的反映经济价值时,市场价格就是影子价格,当市场价格存在变形时,就须对它进行调整以得到较真实地反映经济价值的影子价格。影子价格不仅取决于社会经济目标,而且也取决于经济环境。影子价格的决定是一件较为困难的事情。

影子价格shadow price

不存在市场价格时,对某一项目的评估过程中所使用的归算价格。如大企业对其内部的交易、中央计划者对某一项目的成本-收益分析,都使用这类价格。它们代表生产或消费一种通常不在市场上交易的商品或劳务的机会成本。即使在市场经济中某些产品,如健康、教育及环境等,也不会产生一种市场价格,在这类产品中,代表消费者的边际替代率或生产者的边际转换率的一组影子价格,可以视为反映了边际生产成本或把这类产品用做投入时的边际价值。

影子价格Shadow Price

在国民经济评价中,区别于现行的市场价格而采用的能够反映其实际价值的一种价格。影子价格是20世纪30年代末40年代初由荷兰数理经济学家、计量经济学创始人詹恩·丁伯根和苏联数学家、经济学家、诺贝尔经济学奖获得者康特洛维奇分别提出。影子价格是投资项目经济评价的重要参数,是在社会处于某种最优状态下,能够反映社会劳动消耗、资源稀缺程度和最终产品需求状况的价格。影子价格是社会对货物真实价值的度量,只有在完善的市场条件下才会出现,但这种完善的市场条件是不存在的,因此现成的影子价格也是不存在的,只有通过对现行价格的调整,才能求得它的近似值。

影子价格

反映资源稀缺的真实状况和资源最优配置的价格。通常运用线性规划方法计算得出。短缺资源的影子价格较高。也就是说,某种资源的影子价格越高,表明这种资源的稀缺程度越大。充裕资源的影子价格为零。影子价格随资源的供给状况发生变化。当资源供给增加时,影子价格下降;当资源供给减少时,影子价格上升。影子价格对合理配置资源、选择投资项目、制定价格政策等有参考意义。

影子价格

亦称 “客观制约估价” 或“最优计划价格”。投入生产的资源在最优配置和有效利用时所应得到的价格。它是商品的真实价格,能够反映社会劳动消耗、资源稀缺程度和对最终产品的需求情况,其理论基础是边际效用价值论。影子价格由美籍荷兰经济学家丁伯根 (JanTinber-gen) 于20世纪30年代首先提出。他认为影子价格反映资源的稀缺性,是对劳动、资本等资源的合理评价。在中国,影子价格通常是根据市场价格换算得到。换算时,一般要将货物分为外贸货物、非外贸货物和特殊投入物三类。

影子价格

影子价格shadow price

亦称“客观制约估价”或“最优计划价格”。投入生产的资源在最优配置和有效利用时所应得到的价格。它是商品的真实价格,能够反映社会劳动消耗、资源稀缺程度和对最终产品的需求情况,其理论基础是边际效用价值论。影子价格由美籍荷兰经济学家丁伯根(Jan Tinbergen) 于 20世纪30年代首先提出。他认为影子价格反映资源的稀缺性,是对劳动、资本等资源的合理评价。在中国,影子价格通常是根据市场价格换算得到。换算时,一般要将货物分为外贸货物、非外贸货物和特殊投入物三类。

☚ 均衡价格   客观制约估价 ☛
影子价格

影子价格Snadow Price

亦称计算价格或最优计划价格。是指某一种产品或资源增加最后一单位数量时,生产厂家总收益所增加的数量。它的理论基础是边际效用价值论,主要反映资源的有限性与供需之间的制约关系。影子价格不是由市场竞争决定的市场价格,而是以线性规划法计算的,反映资源最优利用的虚拟价格。凡是可以投入生产的资源,都可以计算其影子价格,但影子价格不是一个固定数量,而是随着经济结构的变化而变化。当目标函数和约束条件变化时,整个影子价格就随之变化。因此,同一资源在不同的经济结构中有不同的影子价格。它可作为制订经营方针和改善经营管理的重要工具,向有关决策人提供价格信息。影子价格是20世纪30年代首先由苏联经济学家列·维·康特罗维奇(Л.В.кангорович)发现的生产资源盈利潜力,称之为最优计划价格。其后荷兰计量经济学家丁伯根 (Jan Tinbergen)也独立研究这一价格体系,认为它是资源合理配置和优化组合的“预测价格”,故定名为影子价格。因此,影子价格是判断资源能否实现最优利用的重要概念。

☚ 干预价格   水闸价格 ☛
影子价格

影子价格shadow price

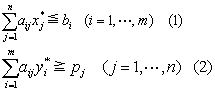
从资源(生产要素)变化引起的产值变化推算出资源对产值的边际贡献。标准的线性规划问题可写成:

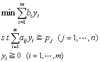
它的对偶问题是

用x*和y*分别记原问题和对偶问题的最优解,则作为线性规划的对偶定理的一部分,可以证明如下结果:
定理。当原问题和对偶问题都存在可行解(即满足约束条件的解)时,则两问题的最优解必存在,且两最优目标函数值相等,即:


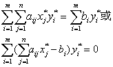
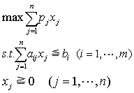
在原问题中,如把pj看成第j种产品的价格,xj看成第j种产品的产量,aij表示为了生产一单位第j种产品所必须的第i种资源的投入量,bi看成第i种资源的最大可能供应量,则原问题就可解释为在资源约束下最大化产值的问题。为了解释对偶问题中最优解y*的经济意义,注意x*和y*分别为两问题的可行解,从而有

分别用yi*和xj*乘(1)和(2)的两边,再加总得

由定理知故由上不等式得

这个等式称为互补松弛条件。对此条件可分以下两种情形讨论:
(1)如对某个i有 这时由互补松弛条件推出yi*=0 。这意味着当第i种资源有多余时,这种资源的归属价格(又称影子价格,机会成本)yi*=0。在经济学中称这种资源为自由物品。
(2)如对某个h有 则由互补松弛条件推得yh*≧0。现把第h种资源的约束从bh变为bh+△bh,△bh为充分小量,则原问题的解从x*变为x*+△x*,从而最优值为(xj*+△xj*),相应地对偶问题的解从y*变为y*+△y*,最优值为由定理知:


并略去高阶项如果仅令第h种资源约束变化一单位,即△bh=1,△bi=0(i≠h),则这个等式的右边正好是第h种资源变化一单位时最优值的变化量,从而对偶变量yh*就是当第h种资源约束bh变化一单位时最优总产值的变化量,称它为第h种资源的影子价格。
如果资源i的影子价格yi*=0,则增加一单位资源不能引起最优总产值的增加;如果资源h的影子价格yh*>0,则增加一单位资源所引起的最优总产值增量为yh*。当资源h的市场价格qh>yh*时,厂商应该出售这种资源;当qhh*时,厂商应该购进这种资源。因此,对偶变量yh*虽然不是资源h的市场价格,但它可看成一种参考价格,这就是影子价格这一名称的由来。
☚ 线性规划   非线性规划、库恩-塔克定理 ☛
影子价格

影子价格

亦称“经济价格”。狭义上指在项目国民经济评价中采用的部分货物的经调整计算的价格,反映社会对这些货物真实价值的度量,是重要的国家参数。广义上,影子价格还包括工资的影子价格(影子工资)、土地的影子价格、资金的影子价格(社会折现率)、外汇的影子价格 (影子汇率) 等。影子价格的确定取决于某一折现率下的国内生产价格体系、国际市场价格、影子汇率、货物稀缺程度或供求关系等诸多因素。影子价格常以直接值和换算系数两因子的积确定。如以财务价格乘以某一适宜的价格换算系数; 也可以直接选用某一适宜的价格,这时价格换算系数可视为1。运用影子价格时,要先将项目的投入物和产出物划分为外贸货物和非外贸货物,然后选用或制定相应的影子价格。对于国家计委颁发的影子价格,应注意其使用条件和适用范围。在项目经济评价中,主要产出物和主要投入物的影子价格,一般应由项目评价人员按照国民经济评价要求制定; 只有在条件符合的情况下,才能直接选用国家颁布的影子价格。(参见“外贸货物影子价格”、“非外贸货物的影子价格”)

☚ 影子工资   外贸货物的影子价格 ☛

影子价格

shadow price

随便看

 

离鸟网收录3541549条中英文词条,其功能与新华字典、现代汉语词典、牛津高阶英汉词典等各类中英文词典类似,基本涵盖了全部常用中英文字词句的读音、释义及用法,是语言学习和写作的有利工具。

 

Copyright © 2004-2024 vtrois.com All Rights Reserved
更新时间:2026/4/20 8:27:43