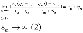
弹性分析法通过对商品进出口供求弹性的分析,研究汇率变动对贸易差额影响的国际收支理论。 20世纪30年代西方资本主义国家大危机后,各国实行竞争性的贬值政策,汇率变动频繁。英国经济学家J·V·罗宾逊在其1937年出版的《就业理论文集》一书的《外汇》 篇中,以马歇尔弹性理论为基础,首次正式提出了国际收支弹性分析法。以后L·A·梅茨勒和A·P·勒纳等经济学家作了进一步发展。后又经过F·麦克勒普和G·哈伯根等人的努力,弹性分析法才成为国际收支理论的重要组成部分。 弹性分析法假定: ❶以局部均衡分析为基础,即设定其他条件不变,只考虑汇率变动对商品进出口数量和总额产生的影响; ❷贸易商品的供给弹性无穷大,从而按国内货币表示的出口价格不随需求增加而上涨; 与出口相竞争的外国商品价格也不因需求减少而下降; ❸不考虑汇率变化的货币效应; ❹贸易最初是平衡的; ❺不考虑资本流动,国际收支等于贸易收支; ❻进出口值皆以外币表示。在上述前提下,贬值能否成功地改善贸易收支,取决于商品进出口供给和需求弹性。贬值改善贸易差额的重要条件如下:  式中,εx表示出口的供给弹性;ηx表示出口的需求弹性; εm表示进口的供给弹性;ηm表示进口的需求弹性。(1) 式称为马歇尔—勒纳—罗宾逊条件,简称马歇尔—勒纳条件。由于需求弹性和供给弹性一般规定为正数,因此从 (1) 式中可以推论,仅当出口需求缺乏弹性时,马歇尔—勒纳条件才没有得到满足,在这种情况下,贬值反而会使贸易差额恶化。马歇尔—勒纳条件有两种特殊的情况。第一种是小国出口的需求弹性和进口的供给弹性无穷大,即ηx=εm=∞,对 (1) 式求极限得:
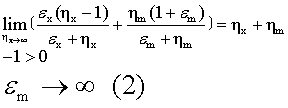
(2) 式完全能够满足马歇尔—勒纳条件,因而贸易差额可以改善。第二种特殊情况则是人们通常所说的马歇尔—勒纳条件。在这种情况下,出口和进口的供给弹性都趋于无穷大,对 (1)式取极限有:
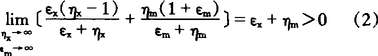
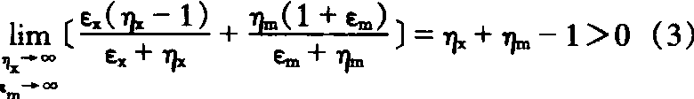
当ηx+ηm>1时,即当进口与出口的需求弹性之和大于1时,贬值才会改善贸易差额。 但是,满足(3)式ηx+ηm>1并不能立即导致贸易差额的改善。贬值后,在短期内由于掌握市场信息、扩大出口或削减进口等都需要一定时间,即存在 “时滞”问题,有可能使贸易差额的变动经历先恶化后改善的过程,这种过程曲线形状极象字母J,因此,贬值后由于时滞的作用贸易差额的变动现象称为J曲线效应。如图所示。
贬值也对贬值国的贸易条件发生影响,因为商品贸易条件是同国际收支变化直接相关的。贸易条件即是一国出口物价指数与进口物价指数之比。一国出口价格水平相对于进口价格水平下降,意味着贸易条件的恶化; 反之则表示贸易条件改善。贬值对贸易条件的影响是不确定的,可用一个简单的公式表示:
该式表明,贬值对一国贸易条件的影响,要视进出口商品的供给弹性之积大于还是小于进出口商品的需求弹性之积而定。如果两个需求弹性之积小于两个供给弹性之积,贬值就会使贸易条件恶化; 如果它们相等,贬值后贸易条件不变,只有当进出口需求弹性之积大于其供给弹性之积时,贸易条件才会改善。弹性分析法 弹性分析法elasticity approach to balance of payments通过对商品进出口供求弹性的分析,研究汇率变动对贸易差额影响的国际收支理论。 20世纪30年代西方资本主义国家大危机后,各国实行竞争性的贬值政策,汇率变动频繁。英国经济学家J.V·罗宾逊在其1937年出版的《就业理论文集》一书的《外汇》篇中,以马歇尔弹性理论为基础,首次正式提出了国际收支弹性分析法。以后L.A·梅茨勒和A.P.勒纳等经济学家作了进一步发展。后又经过F·麦克勒普和G·哈伯根等人的努力,弹性分析法才成为国际收支理论的重要组成部分。 弹性分析法假定: ❶以局部均衡分析为基础,即设定其他条件不变,只考虑汇率变动对商品进出口数量和总额产生的影响; ❷贸易商品的供给弹性无穷大,从而按国内货币表示的出口价格不随需求增加而上涨;与出口相竞争的外国商品价格也不因需求减少而下降; ❸不考虑汇率变化的货币效应; ❹贸易最初是平衡的; ❺不考虑资本流动,国际收支等于贸易收支; ❻进出口值皆以外币表示。在上述前提下,贬值能否成功地改善贸易收支,取决于商品进出口供给和需求弹性。贬值改善贸易差额的重要条件如下: 
式中εx表示出口的供给弹性;ηx表示出口的需求弹性;εm表示进口的供给弹性;ηm表示进口的需求弹性。(1)式称为马歇尔—勒纳—罗宾逊条件,简称马歇尔—勒纳条件。由于需求弹性和供给弹性一般规定为正数,因此从(1)式中可以推论,仅当出口需求缺乏弹性时,马歇尔—勒纳条件才没有得到满足,在这种情况下,贬值反而会使贸易差额恶化。马歇尔—勒纳条件有两种特殊的情况。第一种是小国出口的需求弹性和进口的供给弹性无穷大,即ηx=εm =∞,对(1)式求极限得: 
(2)式完全能够满足马歇尔—勒纳条件,因而贸易差额可以改善。第二种特殊情况则是人们通常所说的马歇尔—勒纳条件。在这种情况下,出口和进口的供给弹性都趋于无穷大,对(1)式取极限有: 
当ηx+ηm>1时,即当进口与出口的需求弹性之和大于1时,贬值才会改善贸易差额。 
图16-47 但是,满足(3)式ηx+ηm>1并不能立即导致贸易差额的改善。贬值后,在短期内由于掌握市场信息、扩大出口或削减进口等都需要一定时间,即存在“时滞”问题,有可能使贸易差额的变动经历先恶化后改善的过程,这种过程曲线形状极象字母J,因此,贬值后由于时滞的作用贸易差额的变动现象称为J曲线效应。如图16-47所示。 贬值也对贬值国的贸易条件发生影响,因为商品贸易条件是同国际收支变化直接相关的。贸易条件即是一国出口物价指数与进口物价指数之比。一国出口价格水平相对于进口价格水平下降,意味着贸易条件的恶化;反之则表示贸易条件改善。贬值对贸易条件的影响是不确定的,可用一个简单的公式表示: ηx·ηm εx·εm 该式表明,贬值对一国贸易条件的影响,要视进出口商品的供给弹性之积大于还是小于进出口商品的需求弹性之积而定。如果两个需求弹性之积小于两个供给弹性之积,贬值就会使贸易条件恶化;如果它们相等,贬值后贸易条件不变,只有当进出口需求弹性之积大于其供给弹性之积时,贸易条件才会改善。 ☚ 贸易差额说 国际生产综合说 ☛ 弹性分析法 弹性分析法英国经济学家J·罗宾逊在她1937年出版的《就业理论论文集》提出的国际收支调节理论。30年代各国实行竞争性的贬值政策,因而汇率频繁变动。罗宾逊研究了汇率变动对国际收支的调节作用,它主要环绕进出口商品的供求弹性展开的,所以称为弹性分析法。它是马歇尔的供给弹性理论和需求弹性理论在外汇市场的引伸。 假定前提 弹性分析法的假定前提是: ❶在其它一切条件为已定,只考虑汇率变动对进出口商品数量和总值产生的影响。 ❷贸易商品的供给几乎具有完全弹性。 ❸充分就业和收人不变,因此进出口商品的需求就是这些商品和其替代品的价格水平的函数。 ❹没有资本移动,国际收支等于贸易。由于出口总值等于出口价格乘出口数量,进口总值等于进口价格乘进口数量,进出口值都是用外币表示的。 基本内容 在上述前提下,贬值能否改善贸易收支,取决于需求和供给的弹性,这里要考虑4个弹性: ❶出口商品的需求弹性。 ❷出口商品的供给弹性。 ❸进口商品的需求弹性。 ❹进口商品的供给弹性。在假定供给具有完全弹性,即承认资本主义的非充分就业、生产资源闲置可以使出口供给弹性无限大的前提下,贬值效果便取决于需求弹性。需求弹性是指价格变动所引起的进出口需求数量的变动。如数量变动大于价格变动,即需求弹性大于1;数量变动小于价格变动,即需求弹性小于1。只有当贬值国进口需求弹性大于0(进口减少)与出口需求弹性大于1(出口增加)时,贬值才能改善贸易差额。如以εm表示贬值国的进口需求弹性,εx表示出口需求弹性,这个条件为εm+εx>1,即进口需求弹性与出口需求弹性的总和大于1,它是贬值可以改善贸易差额的充分必要条件,即所谓“马歇尔一勒讷条件”。举例来说,假设一国出口的需求弹性小于1,例如说1/4,即出口数量的增加只有价格下降的1/4。如果出口价格下降4%,出口数量仅增加1%,结果出口总值将减少3%。又假设进口货的需求弹性为3/4,即国内价格上涨4%,进口数量就会减少3%,进口总值也减少3%。由于这两种弹性之和等于1(1/4+3/4=1),进出口值按同一方向同一数量变动,所以贸易差额保持不变,得不到改善。如果εm+εx>1,贸易差额可以改善;如果εm+εx<1,贸易收支反而恶化。工业发达国家的进出口多是高弹性的工业制成品,所以在一般情况下,货币贬值的作用较大。相反,发展中国家的进出口多是低弹性的商品,货币贬值的作用则不大,它们只有改变进出口的商品结构,由出口低弹性的初级产品转为出口高弹性的制成品,才能改善国际收支的状况。 弹性分析法还探讨另一主题即汇率变动对贸易条件的影响,因为商品贸易条件是同国际收支变化直接相关的。所谓贸易条件就是商品交换比价,即一国出口商品物价指数与其进口商品物价指数之比。一国出口商品价格水平如果相对于其进口商品价格来说下降了,就意味着贸易条件恶化了。罗宾逊夫人在她的《就业理论论文集》和梅茨勒(Lloyd Metzler)在其1948年出版的《国际贸易理论》一文中,都作了较详细的论证,认为贸易条件同进出口商品的供求弹性有着密切关系。他们的考察显然包括在充分就业情况下商品供给弹性的不完全甚至为0。可以分成4种情况: ❶在供给弹性趋于无限大时,进口价格上升,出口价格不变,贸易条件将会恶化。 ❷在供给弹性等于0时,进口价格不变,出口价格上升,贸易条件可以改善。 ❸在需求弹性趋于无限大时,出口价格上升,进口价格不变,贸易条件可以改善。 ❹在需求弹性等于0时,出口价格不变,进口价格上升,贸易条件将会恶化。所以贬值对贸易条件的影响是不确定的。其效果要看供给需求弹性的大小。这可用以下公式来表示: ηmηx εmεx 这里,ηm和ηx分别表示进口和出口商品的供给弹性。当ηmηx<εmεx时,贬值可以改善贸易条件;如ηmηx>εmεx,贬值会使贸易条件恶化;如ηmηx=εmεx,贬值后贸易条件不变。在现实生活中,贬值对贸易条件的影响在不同国家是不一样的。一般而言,一国出口的世界需求弹性小于该国进口的世界供给弹性,因此,贬值一般不能改善一国的贸易条件,反而会使之恶化。 局限性 产生于30年代,并在第二次世界大战后有了新发展的弹性分析法,在分析汇率变动对国际收支产生的效应中,尽管被广泛使用,但它有很大的局限性: ❶它是一种局部的均衡分析,只考虑汇率变动对进出口贸易的影响,其它一切条件都不变;实际上,一国货币贬值会影响非贸易商品的价格,从而整个国民收入和支出都会发生变化。 ❷它是一种静态分析。在短期内,贬值并不能立即引起贸易数量的变化,因为掌握市场信息、定购商品和扩大或削减商品供应都需要时间,因此从进出口商品相对价格的变动到贸易数量的增减,存在着所谓“时滞”。如果引入时间因素,考察汇率变动的长期效果,则贬值不是通过相对价格变动而是通过货币供给和绝对价格水平改善贸易收支。 ❸“马歇尔一勒讷条件”中假定贸易商品的供给有完全的弹性,也不完全符合现实情况,如战后初期各国供应不足,近年生产初级产品的各国的供给弹性都是有限的,所以在运用弹性分析法时还必须考虑“条件”以外的情况予以调整。 ☚ 吸收分析法 货币分析法 ☛ 00002398 |