网站首页  词典首页


请输入您要查询的字词:

 

字词 弹力纤维
类别 中英文字词句释义及详细解析
释义

弹力纤维elastic fibers

系疏松结缔组织中的一种纤维。在新鲜状态下有较强的折光性,略呈黄色,故又称黄纤维。纤维的弹性很强,牵引时其长度可伸长原来的1倍,纤维折断后,断端卷曲呈螺旋状。对稀酸或弱碱溶液具有抵抗性;在沸水中不易溶解;不被胃液消化而易被胰液消化;在一般标本上不易着色。弹力纤维是由弹力蛋白组成的。此纤维分布随组织不同而不同:在疏松结缔组织中分布少而疏散;在项韧带中含量丰富、纤维粗大、排列整齐;在大动脉由弹力蛋白构成有窗孔的中层弹力膜。弹力纤维在各组织中起支架、连结作用,对保持各组织的形态、维持其生理功能有重要意义。此纤维再生能力差损伤后很难重新生成。

弹力纤维

弹力纤维

弹力纤维是结缔组织中的一种纤维,存在于韧带、血管壁及神经外膜等经常受机械张力影响的部位。具有弹性和伸展性。
弹力纤维的组成 弹力纤维有两种形态上不同的部分,一部分是直径为10~12nm的空管纤维,中心孔的直径为4nm,称为微纤维,约占弹性纤维的10~30%,另一部分是无定形的弹性蛋白,宽为1.5nm,其长度不能测,填充在微纤维之间。在电镜下观察,二者都没有象胶原纤维那样的横纹。微纤维是富含极性氨基酸的糖蛋白,带负电性。一些阳离子、如醋酸铀或酒石酸铅等可使之着色。弹性蛋白富含非极性氨基酸,带正电性,一些阴离子化合物、如磷钨酸等可使之着色; 因此,用一种染色法,不能同时使这两种成分着色。在弹力纤维中,微纤维与弹性蛋白含量之比随着成长发育过程而逐渐减少。在胚胎期间,弹性纤维主要是由成束的微纤维组成,随着年龄增长,微纤维逐渐为无定形的弹性蛋白所包围: 在成熟以后,几乎纤维中都充满了无定形物质 (图2)。弹性纤维的形态主要是由外围微纤维的形态来决定。例如,在肌腱中,微纤维呈柱状,在动脉中呈片状。微纤维多含极性氨基酸,即谷氨酸、天门冬氨酸等,其中70%是以酰胺形式存在。此外还含有大量半胱氨酸和蛋氨酸,不含羟脯氨酸及交联键。微纤维与弹性蛋白都不含羟赖氨酸。这是与胶原蛋白不同之处。微纤维中含有己糖与氨基己糖,曾分离出一个分子量为270 000的含糖片段。
弹性蛋白为极不易溶的蛋白质,因此不易弄清它的结构。研究者多从缺铜动物的弹力纤维中提取可溶性弹性蛋白做为研究材料。可溶性弹性蛋白即原弹性蛋白。由于它能为氯化钠抽提出来,因此也叫盐溶弹性蛋白。它含有800至850个氨基酸残基,分子量为72~74 000。分子中甘氨酸、丙氨酸、缬氨酸与脯氨酸的含量很高,精氨酸的含量较少; 不含组氨酸、半胱氨酸、蛋氨酸、色氨酸和羟赖氨酸。甘氨酸常出现在脯氨酸之后,但不象在胶原分子中那样占总数的三分之一。下面例举牛韧带及主动脉中弹性蛋白的氨基酸组成(表)。
从表1中可看出弹性蛋白分子中脯氨酸、甘氨酸、丙氨酸、缬氨酸的含量很高。根据分析结果证明弹性蛋白的肽链可分为两个区段:

表1 牛韧带及主动脉中弹性蛋白的氨基酸组成

氨基酸牛韧带 牛主动脉
(残基数/1000氨基酸)
赖氨酸
组氨酸
精氨酸
羟脯氨酸
天门冬氨酸
苏氨酸
丝氨酸
谷氨酸
脯氨酸
甘氨酸
丙氨酸
缬氨酸
异亮氨酸
亮氨酸
酪氨酸
苯丙氨酸
锁链素
异锁链素
3.3
0.5
5.8
8.6
5.8
9.3
8.7
15.5
116.1
329.7
228.2
132.2
24.0
59.7
5.9
29.4
8.9
0.5
4.6
0.5
5.9
10.6
6.5
9.6
9.2
16.0
112.7
332.4
223.9
131.3
23.5
58.2
7.5
29.7
9.6
0.6

(1) 富含丙氨酸及赖氨酸区段:这一段靠近末端羧基,与分子的交联有关。其所含丙氨酸量甚多,曾发现在末端赖氨酸之前有八个丙氨酸。由于赖氨酸的存在可以发生交联作用。这区段的肽链呈α螺旋状。交联部分占α螺旋的15~20%。
(2) 富含甘氨酸、脯氨酸及缬氨酸区段: 这个区段控制着弹性蛋白的伸展性。经用蛋白酶消化后,证明肽链制着弹性蛋白的伸展性。 经用蛋白酶消化后, 证明肽链中有几个重复单位, 如四肽: —脯—甘—甘—缬—; 五肽: —脯—甘—缬—甘—缬;六肽:—脯—甘—缬—甘—缬—丙。在这些肽段中,主要成分是甘氨酸、脯氨酸和缬氨酸。已知四肽经β转向形成一个较宽的左手螺旋,大量的疏水性侧链都在螺旋内部,甘氨酸有亲水性,是暴露在螺旋的外部,因此,使这螺旋具有亲水性及亲其它溶剂的性质,被称为“油化螺旋”。螺旋的直径为1.2~1.5nm。有弹性和坚韧性(图1)。每重复一个四肽单位,螺旋便伸长0.25nm。在螺旋受到张力时可伸长到原长的2~2.5倍; 去掉张力时,又可恢复原状。弹性蛋白分子中总含水量可达50~60%。干燥后,分子变脆,不再伸展。

表2 成熟弹性纤维的组成及性质

成 分电镜着
色情况
分子量突出的氨基酸



半胱
氨酸


羟脯
氨酸


磷钨
醋酸
弹性纤维++↑↑++++++ D*
原弹性蛋白??40-70 000+--++ D
弹性蛋白+-↑↑+--++ D
微纤维-+270 000+++--
注: D*代表锁链素

图1 弹性蛋白的组成示意图

A.左手螺旋(较宽); B.右手螺旋; C.锁链素


根据上面所述将成熟的弹力纤维的组成及性质列表比较(见表2)。
弹力纤维的合成 从细胞凹陷处的细胞膜分化出来的糖蛋白先形成有一定形态的微纤维聚合物,带负电性。从细胞分泌出来的原弹性纤维带正电性,与微纤维在细胞外相结合。原弹性蛋白受微纤维聚合物形态的控制而定向排列,并且本身进行交联,转变为弹性蛋白,充填在微纤维之间(图2)。
弹性蛋白是在细胞内粗面内质网上合成,在靠近肽链的羧基端,相邻两肽链通过巯基氧化为二硫键而联结起来,再经赖氨酸氧化酶作用后,赖氨酸的氨基氧化为醛,进一步交联形成前弹性蛋白。由前弹性蛋白肽酶将羧基端的二硫键部分水解断掉,就形成原弹性蛋白。水解下来的带有二硫键的片段的分子量约为65 000(图3)。
微纤维与弹性蛋白之间的联接不十分清楚,在成熟的弹力纤维中弹性蛋白的含量可达70%,其余为微纤维。
弹力纤维的水解 微纤维可为蛋白酶分解,如胰蛋白酶、糜蛋白酶或胃酶等。弹性蛋白只能为弹性蛋白酶分解。在胰脏、白细胞及巨噬细胞中都含有弹性蛋白酶。胰脏中含有弹性蛋白酶的无活性前体,胰酶可将其激活,氯化钠能抑制其活性(50mmol可造成50%的抑制)。血清中α1抗胰酶也有抑制弹性蛋白酶的作用。α1抗胰酶能抑制白细胞中弹性蛋白酶的一部分活性。弹性蛋白酶的特异性不强,能分解其它蛋白质,所以也可看作是广谱蛋白酶。新合成的弹性蛋白,合成速度快,分解也快。在成熟后,则代谢很慢。

图2 弹性纤维的生物合成


图3 原弹性蛋白的合成过程


弹性蛋白的交联键 肽链中赖氨酸经赖氨酸氧化酶作用,其ε氨基转变为醛基(该酶需要Cu++作辅基)形成ε醛基赖氨酸(allysine)或称赖醛,其反应见胶原的交联反应。
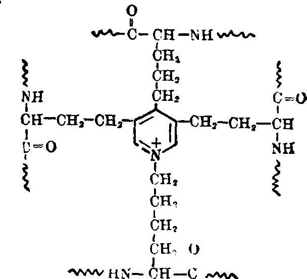
弹性蛋白的交联键中有锁链素(desmosine)或异锁链素(isodesmosine)为胶原分子中所没有。其结构稳定,不易分开。

图4 锁链素的分子组成

☚ 胶原纤维   血液 ☛
00000785
随便看

 

离鸟网收录3541549条中英文词条,其功能与新华字典、现代汉语词典、牛津高阶英汉词典等各类中英文词典类似,基本涵盖了全部常用中英文字词句的读音、释义及用法,是语言学习和写作的有利工具。

 

Copyright © 2004-2024 vtrois.com All Rights Reserved
更新时间:2026/4/18 0:09:48