网站首页  词典首页


请输入您要查询的字词:

 

字词 弧弹性
类别 中英文字词句释义及详细解析
释义

弧弹性Arc Elasticity

指需求价格弹性曲线上两点间的弧的弹性,表示在这一段弧内需求量对价格变化的反应程度,等于需求量的相对改变量与价格的相对改变量的比,即弧弹性=用公式表示为Ea弧弹性的计算方法包括:(1)中点公式,需求量和价格都取弧的中点的值,即平均量,则(2)低点公式,需求量和价格分别取这一段弧上的最小值,则此外还有利用微积分公式求弧弹性的计算方法。弧弹性的计算结果只适用于该弧的变化,而不适用于该弧上任意一段弧的变化。

弧弹性Arc Elasticity

表示某商品需求曲线上两点之间的需求量的变动对于价格的变动的反应程度。弧弹性是强调弧上的变化,所以弧上的Q和P用的是变化前后的均值:弧弹性ε=(ΔQ/Q)/(ΔP/P)。其中,Q表示商品需求量,P表示商品价格,ΔQ表示商品需求变动量,ΔP表示价格变动值。

弧弹性

弧弹性Arc Elasticity

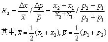
当一经济变量变动某个数值时,引起的另一经济变量的相对变动与该经济变量的相对变动的比率。以需求曲线x=f(p)为例,弧弹性E测量由需求曲线上一点A1(x1,p1)沿该需求曲线移动到另一点A2(x2,p2)的需求量x对价格p的反应程度。令


△x=x2-x1,△p=p2-p1

弧弹性可根据下列三种定义计算:
(1)初始点弧弹性:


(2)中点弧弹性:


(3)对数弧弹性:


〖参〗点弹性
 常弹性
☚ 点弹性   常弹性 ☛
弧弹性

弧弹性arc elasticity

弹性概念是经济学中用以反映不同经济变量相对变化量之间数量关系的一种尺度,弧弹性则是衡量弹性大小的一种计算方法。例如,为了计算一条需求曲线上两点之间的弹性,第一步是求出在两点之间需求量的变化与需求量中值的比率,以及在两点之间价格变化量与平均价格的比率;然后将这两个比率进行比较,得到的数就是这两点之间的弧弹性。弧弹性可以用公式表示为:

其中,(P1,Q1)和(P2,Q2)分别表示变动前后的价格及数量。
☚ 需求的价格弹性   点弹性 ☛
00000089
随便看

 

离鸟网收录3541549条中英文词条,其功能与新华字典、现代汉语词典、牛津高阶英汉词典等各类中英文词典类似,基本涵盖了全部常用中英文字词句的读音、释义及用法,是语言学习和写作的有利工具。

 

Copyright © 2004-2024 vtrois.com All Rights Reserved
更新时间:2026/4/18 3:00:26