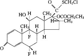
丙酸氯硫卡松
C25H31ClF2O5S=517.03 CAS-80486-69-7 CAS-87556-66-9(cloticasone) (6α,11β,16α,17α)-6,9-二氟-11-羟-16-甲基-3-氧代-17-(1-氧丙氧基)雄甾-1,4-二烯-17-硫代羧酸S-(氯甲基)酯。 (6α,11β,16α,17α)-6,9-Difluoro-11-hydroxy-16-methyl-3-oxo-17-(1-oxopropoxy)androsta-1,4-diene-17-carbothioic acid,S-(chloromethyl)ester. S-(氯甲基)6α,9-二氟-11β,17-二羟-16α-甲基-3-氧代雄甾-1,4-二烯-17β-硫代羧酸酯,17-丙酸酯。 S-(Chloromethyl)6α,9-difluoro-11β,17-dihydroxy16α-methyl-3-oxoandrosta-1,4-diene-17β-carbothioate,17-propionate. 抗炎药。 氯替卡松丙酸酯。 Cloticasone Propionate,CCI 18773. INN& BAN(Cloticasone),USAN.  |