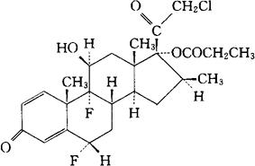
丙酸卤倍他索
C25H31ClF2O5=484.97 CAS-66852-54-8 CAS-98651-66-2(halobetasol) (6α,11β,16β)-21-氯-6,9-二氟-1-羟-16-甲基-17-(1-氧代丙氧基)孕甾-1,4-二烯-3,20-二酮。 Pregna-1,4-diene-3,20-dione(6α.11β,16β)-21-chloro-6,9-difluoro-11-hydroxy-16-methyl-17-(loxopropoxy). 21-氯-6α,9-二氯-11β,17-二羟-16β-甲基孕甾-1,4-二烯-3,20-二酮17-丙酸酯。 21-Chloro-6α,9-difluoro-11β,17-dihydroxy-16β-methylpregna-1,4-diene-3,20-dione 17-propionate. 消炎药。 Halobetasol Propionate,BMY-30056,CGP-14,458. INN(Ulobetasol),USAN.  |