网站首页  词典首页


请输入您要查询的字词:

 

字词 丙谷美辛
类别 中英文字词句释义及详细解析
释义 丙谷美辛

C46H58ClN5O8=844.45

CAS-57132-53-3

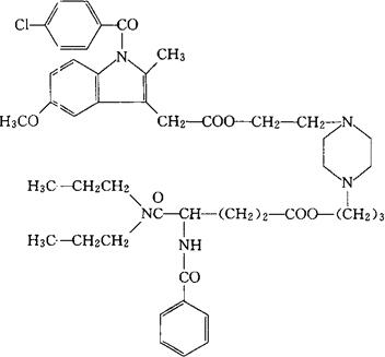
3-[4-(2-羟乙基)-哌嗪基]丙基DL-4-苯甲酰氨基-N,N-二丙基戊二酰胺酸1-(对氯苯甲酰)-5-甲氧-2-甲基吲哚-3-乙酸(酯)。

3-[4-(2-Hydroxyethyl)-1-piperazinyl]propyl DL-4-benzamido-N,N-dipropylglutaramate 1-(p-chlorobenzoyl)-5-methoxy-2-methylindole-3-acetate(ester).

2-[4-[3-[(4-苯甲酰氨基)-5-(二丙氨基)-1,5-二氧代戊基]氧]丙基]-1-哌嗪基乙基1-(4-氯苯甲酰)-5-甲氧-2-甲基-1H-吲哚-3-醋酸酯。

2-[4-[3-[(4-Benzoylamino)-5-(dipropylamino)-1,5-dioxopenty]oxy]propyl]-1-piperazinylethyl 1-(4-chlorobenzoyl)-5-methoxy-2-methyl-1H-indole-3-acetate.

消炎镇痛药,抗风湿病药。用于慢性关节风湿病、变形性关节炎、腰痛症、颈肩腕综合征、肩关节周围炎。

丙谷美他辛。

Proglumetacin,Protacine.

INN,BAN,USAN,MI.

随便看

 

离鸟网收录3541549条中英文词条,其功能与新华字典、现代汉语词典、牛津高阶英汉词典等各类中英文词典类似,基本涵盖了全部常用中英文字词句的读音、释义及用法,是语言学习和写作的有利工具。

 

Copyright © 2004-2024 vtrois.com All Rights Reserved
更新时间:2026/4/18 22:45:51