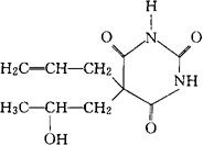
丙羟巴比
C10H14N2O4=226.23 CAS-2537-29-3 5-烯丙基-5-(2-羟丙基)巴比土酸。 5-Allyl-5-(2-hydroxypropyl)barbituric acid. 5-(2-羟丙基)-5-(2-丙烯基-2,4,6-(1H,3H,5H)嘧啶三酮。 5-(2-Hydroxypropyl)-5-(2-propenyl-2,4,6-(1H,3H,5H)-pyrimidinetrione. 镇静药,抗偏头痛药。 丙羟比妥。 Proxibarbal,Axeen,Centralgil,Centralgol,Hydroxydial,Iprona Ipronal,D1H,HHl84. INN,USAN,MI.  |