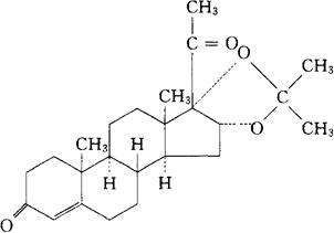
丙缩阿尔孕酮
C24H34O4=386.53 CAS-4968-09-6 [16α]-16,17-[(甲基亚乙基)双(氧)]孕甾-4-烯3,20-二酮。 [16α]-16,17-[(Methylethylidene)bis(oxy)]pregn-4-ene-3,20-dione. 16α,17-二羟基-孕甾-4-烯-3,20-二酮与丙酮形成的环乙缩醛。 16α,17-Dihydroxy-pregn-4-ene-3,20-dione cyclic acetal with acetone. 孕激素类药。 Algestone Acetonide,Alfasone Acetonide,Alphasone Acetonide,W3395. INN(Algestone),BAN,USAN. 
|