网站首页  词典首页


请输入您要查询的字词:

 

字词 弗里德曼,m·
类别 中英文字词句释义及详细解析
释义
弗里德曼,M·

弗里德曼,M·Friedman,Milton,1912—

当代美国经济学家。1912年7月31日生于美国纽约州布鲁克林(Brooklyn) 的一个贫穷的犹太移民家庭。在弗里德曼出生之前,其母在纽约市一家成衣工厂做工,其父则从事杂货生意。1913年,举家迁至新泽西州的拉威郡 (Rahway) 经营一家杂货店。15岁丧父,16岁获得新泽西州政府奖学金,入鲁格斯大学 (Rutgers University) 读书。1932年毕业,次年在芝加哥大学获硕士学位。1933—1934年,在哥伦比亚大学短期研究后,回芝加哥大学任亨利 · 舒尔茨(Henry Schultz) 的研究助理。1937年起,在全国经济研究局 (National Burean of Economic Research) 担任研究员,直到1945年才离职。其间曾先后在哥伦比亚大学兼任教职和研究。1945—1946年,担任明尼苏达州大学经济学副教授。1946年获得哥伦比亚大学经济学博士学位,旋即回芝加哥大学任副教授;1948年升为正教授,直到1977年退休。其间,曾于1953年到剑桥大学担任为期一年的客座教授; 1964年到哥伦比亚大学担任米契尔客座研究教授。目前,在斯坦福大学胡佛研究所任研究员。自1967年起,并担任美国新闻周刊 (News Week) 专栏撰稿人。
自1946年赴芝加哥大学任教后,弗里德曼即继承芝加哥大学经济自由主义的传统,对美国的货币史进行实证研究,并陆续发表实证研究成果及对货币数量说作新的解释;对内强调货币政策的作用,对外则倡导浮动汇率,并大力宣传自由放任主义。因其在经济学上的贡献,1951年,获得美国经济学会的J·B·克拉克奖章; 1968年,担任美国经济学会会长; 1975年,获得诺贝尔经济学奖。
弗里德曼认为,经济科学如同物理学一样,可将经济现象归纳成为有系统的定律,用于预测经济环境变化的后果。他认真地区别实证经济学和规范经济学; 他指出,实证经济学是一种客观的科学,不受伦理或规范判断的影响,提供能正确预测环境变化后果的定律。
弗里德曼提出了“理想竞争模型”的概念,他的理想竞争模型同L.E.Von米塞斯和F·Von哈耶克所主张的市场经济颇为相似,被称为自由私人企业交换经济社会 (free private enterprise exchange economy)。该模型的特色是,强调自由、私人、企业及交换。在该模型中最重要的是: 第一,企业必须属于私人; 第二,个人必须自愿地自由参与交换。与此同时,弗里德曼把政府的作用仅限于维持法律与秩序,确定财产权及其他经济法则的工具、裁决有关解释法则的争端、提供货币结构、执行契约、促进竞争、参与制止技术独占等活动。
弗里德曼打出了“反凯恩斯革命”的旗帜,其“反凯恩斯革命”的主要武器是货币数量说。他认为,造成 1929—1933年大危机的根本原因在于没有充分有效地发挥货币政策的作用,或者没有采取相宜的货币政策,而不是由于凯恩斯所提出的“有效需求不足”。弗里德曼的货币理论可以归纳为下列各项命题: 第一,名义收入增长率与货币存量增长率之间有一致的关系; 第二,当前的收入增长决定于过去的货币增长,当前的货币增长,则决定于将来的收入的增长; 第三,货币存量变动对名义收入影响的时间“滞后”(time lag) 程度,平均约为6—9个月。同时名义收入变动可分为两部分,产出变动在先,价格水平变动在后; 第四,货币存量变动对收入变动的影响过程相当复杂。这是因为,中央银行固然能控制名义货币供给量,但人们所需要的却是实际货币余额 (real balance of money),两者有显著的不同; 第五,由于强调名义数值与实际数值的区别,货币存量的增加固然因流动性效应而带来利率的下降,但这种名义利率的下降只是短期现象,通过收入效应,名义利率不久将会回升; 第六,制定权衡性货币政策,乃是货币纷扰的根源,必须以“法则代替权衡”,货币当局应经常维持固定的货币供应增长率,以抵消或避免可能会发生的大的经济纷扰。
根据这样一些命题,弗里德曼提出了其反凯恩斯主义的政策主张。
弗里德曼对经济学的重要贡献,是他对货币数量说作了新的解释,提出了新的货币数量说。新货币数量说接受了剑桥学派的观念,以货币的资产功能为基础。它据此把货币需求作为财富的一部分来处理,进行资产选择分析。从整个社会来说,按照剑桥方程式M=k·p·y公众所保有的货币量以其实际收入的百分比来表示。但是,从理论观点来看,货币对各部门的效用或作用不同,应区别最终财富拥有者 (ultimate wealth holder)同生产企业 (the productive enterprise) 对货币的需求。前者把货币作为用来保有其财富的一种形式,是其总资产结构中的一部分资产; 后者则将货币视为存货或机器一样的生产性资产。就最终财富的拥有者来说,其真实的货币需求决定于四种主要因素: (1) 总财富; (2) 人力财富 (human wealth) 和非人力财富 (non human wealth) 的 分 配 ;(3) 货币及其他资产的预期收益; (4) 其他因素包括货币需求的收入弹性,预期未来的经济稳定程度,既存的资本品交易量同收入的比较等。
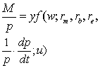
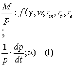
弗里德曼用下列公式表示个人的货币需求函数:


其中y为实际收入,w表示非人力财富占总财富的比例;rm表示货币的预期名义收益率;re表示股权资产的预期名义收益率;1/p·dp/dt表示预期物价变动率及实际资产的预期名义收益率; u表示其他因素。
(1) 式系个人的货币需求函数,若将此式应用于全部最终财富的拥有者,自然必须考虑社会的收入分配及非人力财富所占比例的不平均性。若不考虑这种分配不平均的现象,将 (1) 式中的M和y分别视为平均每人的货币量及平均每人的实际收入,则该式可应用于全部最终财富拥有者。
就生产企业而言,虽然他们视货币为一种生产资源,但他们能从资本市场借入货币,他们对货币的追求似乎不受总财富的限制。但在实证研究上,由于资源来源的限制,也应认为总财富仍为其限制因素之一; 其次,由于生产企业是人力和非人力财富的购买者,所以w对生产企业的货币需求并无影响; 第三,货币及其他资产的预期收益率对生产企业的货币需求当然有极大的影响,在这里生产企业特别重视银行放款利率的变动; 第四,在其他因素方面,生产企业特别重视对经济稳定的预期。所以,除w外,(1)式仍能恰当地表达生产企业的货币需求。
由上所述,整个社会的货币需求决定于: (1) 各种资产的利率或收益率; (2) 真实收入; (3) 价格变动率; (4) 人力财富与非人力财富比率等因素。
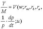
若将货币需求的收入弹性假定为 1,那么,上面的(1) 式可改写为:


(2)



(3)


由此可知,货币存量与名义收入间的稳定关系须以(3) 式右方的稳定,即货币流通速度的稳定为前提。但影响货币流通速度的因素很多,就(3) 式而言,也可分成三类:各种利率水平、价格水平的变动率及w和u等不易作数量测定的其他因素。但由实证研究证明,就长期趋势而言,货币流通速度相当稳定,因此,新货币数量说认为货币需求函数具有相对稳定性。而由货币当局所决定的货币供应量的变化,则是引起名义国民收入发生变化的根本原因。
弗里德曼根据其货币理论,提出了其稳定经济的货币与财政政策主张。弗里德曼认为,作为理想的模式的货币和财政的自动稳定结构,应该是: 第一,要以十足准备制度取代部分准备的银行制度; 第二,要改革现行财政政策,包括三项,其一,政府支出 (各种转移支出除外) 应以社会意愿对公共服务的支出为基础,除非此项社会意愿改变,政府不应增减其支出; 其二,预拟一项固定的转移支出计划,该计划不应因经济景气的变动而变动,但绝对支出金额则自动改变; 其三,以个人所得税为基础的累进所得税。租税结构不因经济景气的改变而改变,但实际税收则自动改变。至于货币政策,他提出“单一规则”即把货币供应量作为唯一的政策工具,由政府公开宣布一个在长期内固定不变的货币增长率,以保证物价水平的大致稳定。
弗里德曼的主要经济著作如下: 《实证经济学论文集》(Essays in Positive Economics,1953);《货币数量说之研究》 (Studies in the Quantity Theory of Money,1956) ;《消费函数论》 (A Theory of the consumption Function,1957); 《货币稳定计划》 (A Program for Monetary Stability,1959); 《资本主义与自由》 (Capitalism and Freedom,1962); 《1867—1960年美国货币史》(A Monetary History of the United States,1867—1960与Anna Schuartz合著,1963); 《美元与逆差》(Dollars and Deficits,1968) ;《货币政策与财政政策辩论集》(Monetary VSFiscal Policy:A Dialogue,1969); 《最适货币量论文集》 ( The Optimum Quantity of Money Others Essays,1969);《自由选择》(Free to Choice,与Rose Friedman合著,1980)。
☚ 阿莱,M·   康特罗维奇,L·V· ☛
00000618
随便看

 

离鸟网收录3541549条中英文词条,其功能与新华字典、现代汉语词典、牛津高阶英汉词典等各类中英文词典类似,基本涵盖了全部常用中英文字词句的读音、释义及用法,是语言学习和写作的有利工具。

 

Copyright © 2004-2024 vtrois.com All Rights Reserved
更新时间:2026/4/18 2:20:32