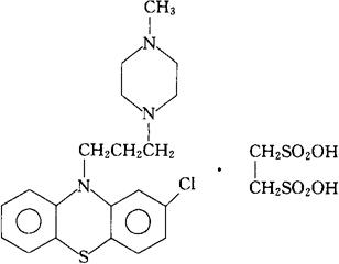
丙氯拉嗪乙二磺酸盐
C20H24CIN3S·C2H6O6S2=564.13 CAS-1257-78-9 CAS-58-38-8(prochlorperazine) 2-氯-10-[3-(4-甲基-1-哌嗪基)丙基]-10H-吩噻嗪,1,2-乙烷二磺酸盐(1∶1)。 2-Chloro-10-[3-(4-methyl-1-piperazinyl)propyl]-10H-phenothiazine,1,2-ethanedisulfonate(1∶1). 安定药,镇吐药。 甲哌氧丙嗪乙基二磺酸盐。 Prochlorperazine Edisylate. USAN,USP. 
|