网站首页  词典首页


请输入您要查询的字词:

 

字词 异菌脲
类别 中英文字词句释义及详细解析
释义

异菌脲iprodione

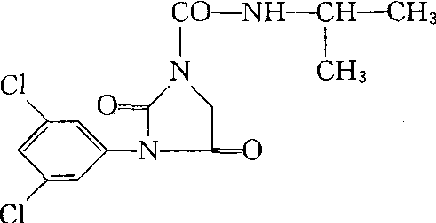
3,5-二氯苯胺系统的杂环杀菌剂。商品名扑海因(Rovral)。化学结构式:

1972年法国罗纳—普朗克(Rhone-Poulenc)公司推广生产。
性能 纯品为无色结晶,熔点约136℃ 。20℃条件下,蒸气压为266.6448×10-7帕,在水中溶解度为13毫克/升,在乙醇和甲醇中为25克/升,在苯中为200克/升,在丙酮中为300克/升。在碱性条件下不稳定。低毒。原药大鼠急性口服LD50为3500毫克/千克,小鼠为4000毫克/千克,兔急性经皮LD50>1000毫克/千克。大、小鼠急性吸入LC50>13毫克/升。对眼睛、皮肤无刺激作用。以带此药剂的饲料喂饲狗3个月、小鼠18个月、大鼠24个月,其无作用剂量分别为2400毫克/千克、160毫克/千克和25毫克/千克。以含药饲料喂饲大鼠三代繁殖试验无作用剂量为500毫克/千克。虹鳟鱼96小时LC50为6.7毫克/升,蓝鳃鱼LC50为2.25~6.30毫克/升,野鸭LD50>10400毫克/千克,鹌鹑LD50为930毫克/千克,蜜蜂LD50>400微克/只。具广谱性、触杀作用。对葡萄孢属、链孢霉属、核盘菌属、小菌核属等有较好的杀菌效果,对链核孢、禾蠕孢、丝核菌、镰刀菌、伏革菌等属也有效。
应用 广泛用于防治葡萄、草莓、蔬菜的灰霉病,核果类果树上的菌核病、苹果斑点落叶病、梨黑星病、马铃薯黑痣病等多种病害。(见表)

异 菌 脲 适 用 表

防治对象用药方法用药时期用药量(有效成分)
或使用浓度
用药次数用药间隔期
(d)
番茄早疫病
番茄灰霉病
葡萄灰霉病
喷洒
喷洒
喷洒
移栽后10d
移栽后10d
发病初期
750~1500g/hm2
750~1500g/hm2
262.5~750g/hm2
3~4
3~4
14
14
油菜菌核病
苹果斑点落叶病
草莓灰霉病
花生冠腐病
小麦黑穗病
马铃薯黑痣病
柑桔青、 绿霉病
喷洒
喷洒
喷洒
拌种
拌种
浸种薯
浸果
初花期和盛花期
初发病
初发病
499.5~750g/hm2
333~500mg/L
750~1012.5g/hm2
0.5~1.5g/kg(种子)
0.5~1g/kg(种子)
2g/L(浸液)
1000mg/L
2
2
10~14
10~15
应用剂型有50%可湿性粉剂和25%悬浮剂。

异菌脲iprodione

又名朴海因、咪唑霉。二甲酰亚胺类杀菌剂。化学名称:3-(3,5-二氯苯基)-N-(1-甲基乙基)-2,4-二氧-1-咪唑啉甲酰胺。化学结构式如下。原药无色结晶,20℃溶解度,水中13 mg/L,乙醇、甲醇25 g/L,丙酮、苯甲醚300 g/L,二甲基甲酰胺、二氯甲烷500 g/L。一般稳定,无腐蚀性。1971年法国罗纳-普朗克公司推广。广谱保护性杀菌剂,对葡萄孢菌,丛梗孢菌,小核菌属有特效。对交链孢菌、长蠕孢菌、丝核菌、镰刀菌、茎点属菌、伏革菌、核瑚菌亦有效,抑制孢子萌发和菌丝生长,种子处理和叶面喷洒、烟剂熏蒸,及水果果实防腐,用于果树、蔬菜、花卉及谷物的多种病害。对植物安全,大鼠急性口服LD503500 mg/kg,经皮2500 mg/kg,慢性中毒试验未发现中毒反应,对蜜蜂无毒。

随便看

 

离鸟网收录3541549条中英文词条,其功能与新华字典、现代汉语词典、牛津高阶英汉词典等各类中英文词典类似,基本涵盖了全部常用中英文字词句的读音、释义及用法,是语言学习和写作的有利工具。

 

Copyright © 2004-2024 vtrois.com All Rights Reserved
更新时间:2026/4/18 12:21:38