网站首页  词典首页


请输入您要查询的字词:

 

字词 库德—理查逊公式
类别 中英文字词句释义及详细解析
释义

库德—理查逊公式

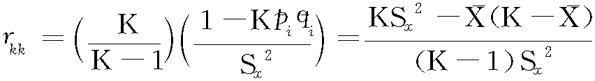
分析题目内部一致性,以估计信度的一种方法。由库德(Kuder)和理查逊(Richardson)于1937年提出。包括K—R20和K—21两个公式。前者为

 其中r为信度系数,K为测验所包含的题目数,pi为题目i的通过率,S2为测验总分的变异数。该公式是对斯皮尔曼-布朗公式的一种发展。一般适用于项目的答案有正误之分或其他非连续反应变量的测验。如果各题目难度相近,则可用K—R21公式

其中X-是测验总分的平均数,K和S2、R含义与K—R20公式相同。此式较为简单,但求得的信度系数有低估的倾向。
随便看

 

离鸟网收录3541549条中英文词条,其功能与新华字典、现代汉语词典、牛津高阶英汉词典等各类中英文词典类似,基本涵盖了全部常用中英文字词句的读音、释义及用法,是语言学习和写作的有利工具。

 

Copyright © 2004-2024 vtrois.com All Rights Reserved
更新时间:2026/4/21 7:44:42