网站首页  词典首页


请输入您要查询的字词:

 

字词 序列的随机性检验
类别 中英文字词句释义及详细解析
释义
序列的随机性检验

序列的随机性检验

按时间或空间顺序搜集的序列数据,各观察值间的序贯变异是否随机的,可用均方递差检验来作出推断。如后例中,每隔1小时用同一方法测定废水的含汞量,观察值的波动若是随机的,表明在此期间水中含汞量与测定方法都是稳定的;若是非随机的,表明水中含汞量或测定方法前后有了变化。检验序列随机性的其他方法参见条目“游程检验”、“时间序列”等。
均方递差检验的方法步骤如下:
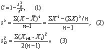
(1) 按式(1)计算统计量C值,

式中s2为样本方差,s2 D为递差均方,n为样本含量,i=1,2,…,n-1,(Xi+1-Xi)为序列中后一观察值与前一观察值之差,称为递差。由此可以看出本法的基本思想是:样本方差s2是总体方差σ2的估计值,若序贯变异是随机的,J. von Neuman等提出用s2D 作σ2的估计值。因此,S2D/s2=1,则C=0。若C的观察值不为0,是否由于抽样误差所致,于是用均方递差检验作为推断。
(2) 求得C值后,按n查均方递差检验用C界值表得P值,按所取检验水准作出推断结论。

均方递差检验用C界值表


nPnPnPnP
0.050.010.050.010.050.010.050.01
8
9
10
.509
.488
.469
.668
.645
.624
         
11
12
13
14
15
16
17
18
19
20
.452
.436
.422
.409
.397
.386
.376
.367
.358
.350
.604
.586
.569
.553
.539
.525
.513
.501
.490
.480
21
22
23
24
25
26
27
28
29
30
.343
.335
.329
.322
.316
.311
.305
.300
.295
.291
.470
.461
.452
.444
.436
.429
.422
.415
.409
.402
31
32
33
34
35
36
37
38
39
40
.286
.282
.278
.274
.271
.267
.264
.260
.257
.254
.397
.391
.386
.380
.376
.371
.366
.362
.357
.353
41
42
43
44
45
46
47
48
49
50
.251
.248
.245
.243
.240
.238
.235
.233
.230
.228
.349
.345
.342
.338
.335
.331
.328
.325
.322
.319

摘自 Zar JH: Biostatistical Analysis,p 549,Prentice-Hall,Inc.,1974
如n超出C界值表的范围,可按正态近似原理,由式(4)计算u值,查u界值表(单侧)得P值,作出推断结论。

上述近似公式,当检验水准a=0.05时,n≥10近似程度很好;而a=0.01时,须n≥100。
例 对某工厂废水每隔1小时测一次含汞量(mg/L),连续11次,数据如下。问含汞量测得值的波动是否随机的。3.7 3.5 3.8 3.6 3.3 2.4 2.7 2.7 2.9 2.3 2.8
H0:测得值的序贯变异是随机的,即含汞量前后无差别;
H1:测得值的序贯变异不是随机的,即含汞量前后有差别。a=0.05。
本例n=11,∑X =33.7,∑X2=106.11。



今n=11,查C界值表得P<0.01,按α=0.05水准拒绝H0,接受H1,故可认为该厂在此期间废水中含汞量测得值的波动不是随机的。若进一步作升降趋势检验,可看出此废水的含汞量测得值有下降趋势。是废水中含汞量本身有了变化,还是测定方法不稳定,宜再作具体分析。
☚ 多个方差的齐性检验   极差分析 ☛
00013237
随便看

 

离鸟网收录3541549条中英文词条,其功能与新华字典、现代汉语词典、牛津高阶英汉词典等各类中英文词典类似,基本涵盖了全部常用中英文字词句的读音、释义及用法,是语言学习和写作的有利工具。

 

Copyright © 2004-2024 vtrois.com All Rights Reserved
更新时间:2026/4/21 20:04:43