网站首页  词典首页


请输入您要查询的字词:

 

字词 年费用法
类别 中英文字词句释义及详细解析
释义
年费用法

年费用法Yearly Cost

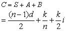
把投资总额折算到投资使用期的每一年中,计算出年均费用来对投资方案进行评价的决策方法。年费用的计算方法随方案性质的不同而略有差异,设年费用为C,年运营费用为S,则C的计算方法有两种:
第一种以年运营费S,年折旧A,年投资利息B构成年费用C,则:


式中:n——使用年限;d——运营费用年均递增额;k——总投资额;i——年利率。
为使C最小,则将上式对n求导得:
d/2-k/n2=0,即n=,这时Cmin+ki-d/2,根据这个公式可以计算出各个方案年费用的最小值,据此就可以选择最优方案。
第二种以年运营费S和年均偿还费用D构成年费用C。则:

C=S+D
=S+k·Uw


式中:Uw——年均偿还费用系数。


年均偿还费用指的是将总投资额折算到每年应承担的金额。
例:现有投资方案A、B、C数据如表11-10。


表11-10 单位:万元

指标
方案
方案A方案B方案C
投资额253343
年运营费654
使用年限151515

试选择最优方案(已知i=8%)。
解:

对于A方案:C=6+25×0.1168=8.92(万元)
对于B方案:C=5+33×0.1168=8.85(万元)
对于C方案:C=4+43×0.1168=9.02(万元)
可以看出B方案的年费用最小,因此是最优方案。
☚ 投资回收期法   内部利率法 ☛

年费用法

annual cost method

随便看

 

离鸟网收录3541549条中英文词条,其功能与新华字典、现代汉语词典、牛津高阶英汉词典等各类中英文词典类似,基本涵盖了全部常用中英文字词句的读音、释义及用法,是语言学习和写作的有利工具。

 

Copyright © 2004-2024 vtrois.com All Rights Reserved
更新时间:2026/4/21 16:02:03