网站首页  词典首页


请输入您要查询的字词:

 

字词 平衡预算乘数
类别 中英文字词句释义及详细解析
释义

平衡预算乘数Balanced budget multiplier

度量政府支出与税收同时增加或减少同一数额对总需求的影响。在简单的收入-支出模型中,假设政府的公共支出增加ΔG,经济中的边际消费倾向是c,且0

1.ΔY1=ΔG
2.ΔY2=ΔC1=cΔY1=cΔG1
3.ΔY3=ΔC2=cΔY2=C2ΔG
4.ΔY4=ΔC3=cΔY3=C3ΔG,
……,ΔYn=ΔCn-1=cΔYn-1=cn-1ΔG

将各轮的收入增量加总,n趋势于无穷时,可以得到:

ΔY′=ΔY1+ΔY2+ΔY3+…+ΔYn+…
 =ΔG+cΔG+c2ΔG+…+cnΔG+
ΔG(1+c+c2+c3+…+cn-1+…)

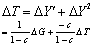
税收增加ΔT对于收入(产出) 的影响可以用类似的办法得到:

对总需求的净效应是:

由于ΔG=ΔT,因此ΔY=ΔG,平衡预算乘数等于1。这表示政府支出的扩张效应超过税收的收缩效应,净效应是正数。用税收筹集的公共支出的增加是扩张性的,而不是中性的。在考虑进出口的总需求模型中,假设政府的公共支出增加了ΔG,其中只有bΔG被花在国内生产的商品和服务上,余下部分被用于购买进口商品。则政府支出增加ΔG引起的总需求变化量是

其中的C是指对国内产出 (即扣除了进口品) 的支出倾向。再考虑最初对家庭征收的税收的增加,这些家庭从整个社会来看把他们收入的一个不同的部分花费在国内生产的商品和服务上。于是税收增加ΔT引起的总需求的变化量是

其中的C′不同于C,它是消费初始下降的部分。对总需求的净效应是

如果b小于C′,平衡预算乘数是负的。如果c充分地小于C′,平衡预算乘数将大于1。进一步考虑利率变化,在IS-LM模型的框架下计算平衡预算乘数。假设IS曲线和LM曲线分别被如下方程所描述: y=c(ygT) +i (r) +G

微分可以得到dy=cdy-cdT+i′dr+dG和dr=- (k′/l′) dy
将第二式代入第一式可以得到

由于假设dG=dT,可以得到平衡预算乘数:

根据对LM曲线和对投资函数的通常假定,i′k′/l′是正的。因此引入货币市场对投资的影响通过分母中的i′k′/l′项降低了平衡预算乘数。

平衡预算乘数Balanced Budget Multiplier

政府购买和税收以相同数量增减时,国民收入变动量与政府购买或税收变动量的比率。用公式表示为:kb=kg+kt=1。其中,kb 为平衡预算乘数,kg为政府购买乘数,kt为税收乘数。

平衡预算乘数

政府支出乘数与税收乘数之和。政府支出乘数,是指政府支出的变动(增加或减少)所引起的国内生产总值变动(增加或减少)的倍数。税收乘数,是指政府税收的变动(增加或减少)所引起的国内生产总值变动(减少或增加)的倍数。当政府支出与税收达到平衡时,平衡预算乘数等于1。政府支出靠税收维持,若实现了预算平衡,支出等于税收,政府支出的影响就等于政府税收的反影响。虽然政府支出的增加对国民产出有倍数或乘数的扩张作用,但是税收的增加对国民产出具有等量的收缩作用,其结果是二者平衡。平衡预算乘数可以作为政府制定财政政策的参考依据。在有效需求不足的情况下,如果是为了扩大国民产出,就需要扩大政府支出、减少税收;在有效需求过大的情况下,为了抑制通货膨胀,就应减少政府支出、增加税收。在这两种情况下,政府应增加或减少多少支出、增加或减少多少税收,都应根据政府支出乘数、税收乘数以及平衡预算乘数而定。平衡预算乘数等于1,其前提是纳税人的边际消费倾向与政府支出接受人的边际消费倾向相等。

平衡预算乘数

为了维持预算平衡,增加财政支出,同时要相应增加税收,但从乘数分析,数值为正的财政支出乘数并不与为负值的税收乘数相抵消,两个乘数之差即平衡预算乘数,它等于1. 其推导过程为:
增加支出之级数: 1+r+r2+r3+……新增税收之级数: -r-r2-r3-……
平衡预算乘数: 1+0+0+0+……=1

平衡预算乘数

平衡预算乘数balanced budget multiplier

为了维持预算平衡,增加财政支出,同时要相应增加税收,但从乘数分析,数值为正的财政支出乘数并不与为负值的税收乘数相抵消,两个乘数之差即平衡预算乘数,它等于1。其推导过程为:

☚ 税收乘数   财政政策 ☛
平衡预算乘数

平衡预算乘数balanced budget multiplier

参见“财政学”学科“财政乘数”条。

☚ 政府支出乘数   转移效应 ☛
00000352
随便看

 

离鸟网收录3541549条中英文词条,其功能与新华字典、现代汉语词典、牛津高阶英汉词典等各类中英文词典类似,基本涵盖了全部常用中英文字词句的读音、释义及用法,是语言学习和写作的有利工具。

 

Copyright © 2004-2024 vtrois.com All Rights Reserved
更新时间:2026/4/21 2:18:04