网站首页  词典首页


请输入您要查询的字词:

 

字词 不良品统计的工序抽样间隔
类别 中英文字词句释义及详细解析
释义 不良品统计的工序抽样间隔

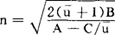
为了监控制造过程,观察它是否处于统计的控制状态,以预防和减少不良品产生,提高产品质量,在工序上进行抽样检测的间隔。确定工序抽样间隔n的公式如下:

式中:A表示工序发生异常时,产生单位不良品的损失(元);B表示每次的诊断费用(元);C表示工序发生异常时,使工序恢复正常的调节费用(元);表示平均故障间隔(件),它是某段时间的产量与该段时间的故障次数的比值,当故障次数为零时,可以取某段时间产量的两倍;I表示时滞损失(发现不良品开始诊断调节至恢复正常状态这段时间内的产量损失)。

随便看

 

离鸟网收录3541549条中英文词条,其功能与新华字典、现代汉语词典、牛津高阶英汉词典等各类中英文词典类似,基本涵盖了全部常用中英文字词句的读音、释义及用法,是语言学习和写作的有利工具。

 

Copyright © 2004-2024 vtrois.com All Rights Reserved
更新时间:2026/4/22 0:48:48