网站首页  词典首页


请输入您要查询的字词:

 

字词 不等式的一般性质
类别 中英文字词句释义及详细解析
释义 不等式的一般性质

1.对称性:a>bb

2.传递性:,这两条性质是不等式证明的缩放思想的依据.

3.加法法则:a>ba+c>b+c(c为整式),

4.乘法法则:a>b,c>0ac>bc,a>b,c<0ac

5.倒数法则:

6.乘方法则:a>b>0an>bn(n∈N且n>1).

7.开方法则:(n∈N且n>1).

例1 若a

A.不等式均不能成立

B.不等式均不能成立

C.不等式 均不能成立

D.不等式 均不能成立

解 ∵b<0,∴—b>0,∴a—b>a,

又∵a—b<0,a<0,

,故不成立.

∵a|b|>0,

,故不成立.

由此可选B.

另外,A中成立.

C与D中成立,其证明如下:

例2 已知三个不等式:
❶ ab>0,
❷ 
❸ bc>ad,以其中两个作条件,余下一个作结论,则可组成( )个正确命题.

解 对命题❷ 作等价变形:

于是,由ab>0,bc>ad可得❷ 成立,即❶ ❸ ❷ ;

若ab>0,,则bc>ad,故❶ ❷ ❸ ;

若bc>ad,,则ab>0,∴❷ ❸ ❶ ;

∴可组成3个正确命题.

例3 设f(x)=ax2+bx,且1≤f(—1)≤2,2≤f(1)≤4,求f(—2)的取值范围.

分析 本题考生容易错解如下:

错误的原因是三次用到了同向不等式相加的性质,导致f(—2)的取值范围的扩大.

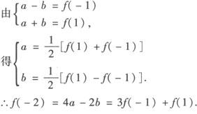
解 设f(—2)=mf(—1)+nf(1)(m,n为待定系数),

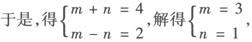
则4a—2b=m(a—b)+n(a+b),即

4a—2b=(m+n)a—(m—n)b,

∴f(—2)=3f(—1)+f(1).

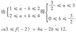
∵1≤f(—1)≤2,

∴2≤f(1)≤4,

∴5≤3f(—1)+f(1)≤10,故5≤f(—2)≤10.

以上解题过程简化如下:

随便看

 

离鸟网收录3541549条中英文词条,其功能与新华字典、现代汉语词典、牛津高阶英汉词典等各类中英文词典类似,基本涵盖了全部常用中英文字词句的读音、释义及用法,是语言学习和写作的有利工具。

 

Copyright © 2004-2024 vtrois.com All Rights Reserved
更新时间:2026/4/17 15:33:45