网站首页  词典首页


请输入您要查询的字词:

 

字词 巴龙霉素
类别 中英文字词句释义及详细解析
释义

巴龙霉素paromomycin

系抗生素的一种。抗菌作用与卡那霉素相似,用于治疗阿米巴痢疾、菌痢、肠炎等肠道感染。口服1日4次,1次40~60万u,1疗程5~7日。可引起腹泻、恶心、厌食、头晕等,停药即消退;本品不宜用于注射。

巴龙霉素

巴龙霉素

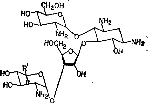
巴龙霉素Ⅰ R=CH2NH2,R′=H

巴龙霉素Ⅱ R=H,R′=CH2NH

2
巴龙霉素(paromomycin)是从Str.rimosus forma pa-romomycinus培养液中得到的抗生素。经离子排斥法可分离得巴龙霉素Ⅰ和Ⅱ两组份,巴龙霉素Ⅰ和Ⅱ互为立体异构体。巴龙霉素Ⅰ和Ⅱ与新霉素B和C的差别仅在C′-6上的羟基为氨基所取代。
巴龙霉素硫酸盐为白色粉末,易溶于水,不溶于乙醇、丙酮、氯仿及乙醚。遇光易变色,吸湿性强。水溶液稳定。
巴龙霉素的抗菌谱与新霉素基本相同。巴龙霉素与其他氨基糖甙类抗生素的主要差别在于它对阿米巴原虫有较强的抑制作用,在2μg/ml的浓度时阿米巴原虫即可被抑制,在50~100μg/ml时则对阿米巴原虫的抑制作用很明显。巴龙霉素对革兰阴性和阳性细菌均有抑制作用,特别是对痢疾杆菌和金黄色葡萄球菌的作用较突出; 对绿脓杆菌无作用,对抗酸杆菌则有良好抑制作用。巴龙霉素对细菌的最低抑菌浓度在10 μg/ml以下,高浓度时具杀菌作用。
细菌对巴龙霉素不易产生耐药性。细菌对巴龙霉素与卡那霉素、新霉素和链霉素间有交叉耐药性。
巴龙霉素口服后几乎不吸收,副作用较轻,常见者有头晕、食欲减退、恶心、呕吐、腹部不适及轻度腹泻,停药后即消失。肌内注射后的毒性则很强,可引致肾及听神经损害,因此限制了其全身应用。巴龙霉素和新霉素一样,偶可引起吸收不良综合征,长期口服也有可能引起听力损害。
临床上口服用于治疗阿米巴痢疾、细菌性痢疾、婴儿腹泻、沙门菌肠炎等有相当疗效。巴龙霉素也曾用以替代新霉素作为腹部手术前的治疗,或肝昏迷前期用以减少氨的形成和吸收。巴龙霉素对牛肉绦虫病和短膜壳绦虫病也有一定疗效。
常用量:每次0.5~0.75g (50~75万U),一日四次口服。
☚ 新霉素   卡那霉素、卡那霉素B和丁胺卡那霉素 ☛
00005616
随便看

 

离鸟网收录3541549条中英文词条,其功能与新华字典、现代汉语词典、牛津高阶英汉词典等各类中英文词典类似,基本涵盖了全部常用中英文字词句的读音、释义及用法,是语言学习和写作的有利工具。

 

Copyright © 2004-2024 vtrois.com All Rights Reserved
更新时间:2026/4/21 5:37:21