网站首页  词典首页


请输入您要查询的字词:

 

字词 巴比妥类
类别 中英文字词句释义及详细解析
释义
巴比妥类

巴比妥类

巴比妥类是巴比妥酸(丙二酰脲)的衍生物。为镇静催眠药。


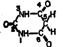
巴比妥酸(丙二酰脲)


巴比妥酸本身无催眠作用,当其5位碳上的二个氢原子被其他基团(多数为开链烃基)取代后,即获得对中枢神经系统有作用的各种衍生物。5位碳上的侧链长者作用较强,但在体内稳定性减低,作用持续时间较短;5位碳的侧链中有分枝结构或不饱和键者,在体内较不稳定而作用较短;5位碳上若有苯基取代,除具催眠作用外,还有抗惊厥作用(如苯巴比妥);2位碳上的氧若被硫取代,则作用更强,起效更快,但持续时间更短(如硫喷妥钠)。
巴比妥类按作用时间的长短分为四类:
❶长效类:包括巴比妥(barbital,veronal),苯巴比妥(鲁米那)(phenob-arbital,luminal);
❷中效类:包括戊巴比妥(pentobarb-ital,nembutal),异戊巴比妥(阿米妥)(amobarbital,am-ytal);
❸短效类:如司可巴比妥(速可眠) (secobarbital,seconal);
❹超短效类,如硫喷妥钠(sodiumthiopental,so-dium pentothal)。
巴比妥类通常为白色结晶性粉末,不易溶于水,可溶于非极性溶剂中,它们的钠盐有水溶性,但水溶液不稳定。这类药物口服能被胃肠道吸收,吸收后分布于一切组织和体液中,亦能透过胎盘进入胎儿组织。它们进入脑组织的速度取决于脂溶性,脂溶性高者如硫喷妥钠和速可眠等,发挥作用快;脂溶性低者如苯巴比妥则起效较慢。长效类以原形从肾脏排出的比例较高(巴比妥占60%,苯巴比妥占30%),又能被肾小管再吸收,故作用维持时间较长。中效和短效类大部分经肝脏代谢,作用维持时间不长,超短效类亦大部分经肝脏代谢,但其作用短暂却主要由于药物在体内的再分布,即离开脑组织分布到脂肪组织,造成脑内药物浓度迅速下降而失去麻醉作用。
巴比妥类能延长睡眠时间。由于它们缩短快波睡眠时间,久用停药后出现快波睡眠时间反跳性延长,造成多梦的不良反应。这类药物,尤其是苯巴比妥,能诱导肝药酶,加速其他药物在肝脏的代谢。苯巴比妥还具有抗癫痫作用。这类药物在临床用于镇静、催眠、抗惊厥、抗癫痫(苯巴比妥),全身麻醉(硫喷妥钠)。
巴比妥类的不良反应表现为:药物的后遗作用,表现为头晕,困倦。长期用药使人产生身体依赖性,断药后出现惊厥等严重戒断症状;药物过敏,出现皮疹; 过量急性中毒,产生中枢高度抑制,可导致死亡。
常用的巴比妥类制剂为:
❶苯巴比妥: 镇静每次15~30mg,催眠每次60~100mg,睡前服; 抗癫痫(大发作)从小剂量开始,每次15~30mg,每日3次,最大剂量每次60mg,每日3次。抗惊厥每次肌内注射0.1~0.2g;控制癫痫持续状态每次0.1~0.2g,缓慢静脉注射。
❷异戊巴比妥:催眠每次0.1~0.2g,睡前服。
❸司可巴比妥:催眠每次0.1~0.2g,睡前服。
☚ 镇静催眠药   苯二氮䓬类 ☛
00005404
随便看

 

离鸟网收录3541549条中英文词条,其功能与新华字典、现代汉语词典、牛津高阶英汉词典等各类中英文词典类似,基本涵盖了全部常用中英文字词句的读音、释义及用法,是语言学习和写作的有利工具。

 

Copyright © 2004-2024 vtrois.com All Rights Reserved
更新时间:2026/4/21 9:24:54