不定积分
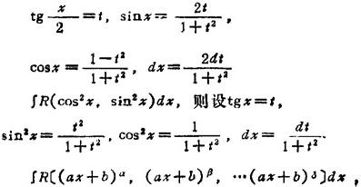
8.1.1 不定积分法则 ∫f′(x)dx=f(x)+c,∫f″(x)dx=f′(x)+c ∫〔af(x)±bg(x)±…〕dx=a∫f(x)dx±b∫g(x)dx±…(a,b,…为常数)(线性运算) ∫f(x)dx=∫f〔φ(t)〕φ′(t)dt(变量替换) ∫f′〔φ(x)〕d(φ(x)〕=f〔φ(x)〕+C(配元积分) ∫uv′dx=uv-∫u′vdx(分部积分) 8.1.2 常见变量替换 被积函数含 者,设x=asint;被积函数含 者,设x==atgt;被积函数含 者。设x=asect。 ∫R(cosx,sinx)dx,R( )表示有理函数,设  式中α,β,…,δ为分数,若分母的最小公倍为m,则设 。 8.1.3 基本不定积分表 见表1.1-12。 表1.1-12 基本不定积分表(表中略去积分常数)   |