网站首页  词典首页


请输入您要查询的字词:

 

字词 不同洗涤方式用水量及洗涤时间的计算与比较
类别 中英文字词句释义及详细解析
释义 不同洗涤方式用水量及洗涤时间的计算与比较

【说明】 对于循环式洗浆池,所采取的洗涤方式不同,其效益和时间是不同的,下面按不同的方式进行计算及比较。

(一)积分洗涤法的计算

【说明】 浆量一定,在运行中进入清水量(单位时间内)等于滤液抽出量,保持浆位平稳,定时抽检残碱含量(符合工艺要求时为止),可用积分法进行洗涤用水量和洗涤时间的计算,故称积分洗涤法,

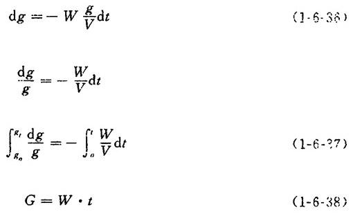
【公式】

式中 dg——残碱增量

dg=加入量-排出量=-排出量

(因为加入为清水)

W——滤液体积流量(m3/min)

g——浆料中残碱(NaOH)重量(kg)

V——浆料体积(m3)

t——洗涤时间(min)

G——用水量(m3)

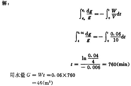
【例1】 已知某洗浆机的浆料体积V=10m3,残碱重量(NaOH)g0=4kg(pH=12)。过滤流量W=0.06m3/min,终点残碱gt=0.04kg,求洗涤时间和用水量。

(二)降浓积分洗涤法

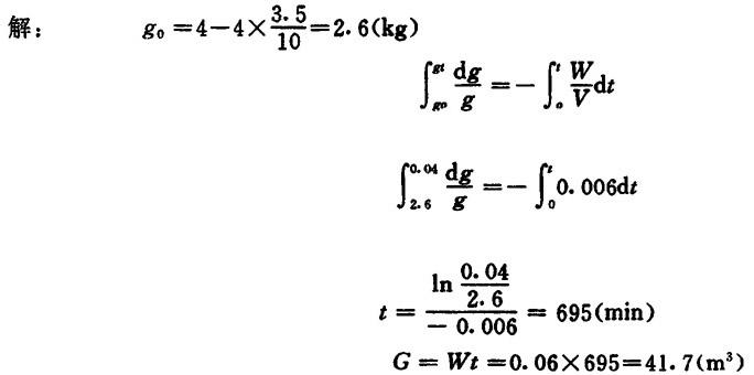
【说明】 洗涤开动搅拌后,暂不进清水,先抽出3.5m3黑液,然后才边进清水边抽滤液。因黑液浓度降低,故称降浓积分洗涤法。

【公式】 同式1-3-36、1-6-37和1-6-38。

【例2】 在例1中10m3的浆,开动搅拌后,先抽出3.5m3黑液,其它条件均不变,求洗涤时间和用水量。

【讨论】 显然,这种方法比第一种方法缩短了一个小时,节约水4m3

(三)级数洗涤法

【说明】 该法采取稀释、浓缩交替进行的方法洗涤浆料。随著稀释、浓缩周期的增加,浆料中的残碱浓度递减、形成收敛级数关系,故称级数洗涤法。

【公式】

式中 xn——经n次稀释后终点残碱的浓度(kg/m3或g/L)

x0——稀释前残碱浓度(kg/m3或g/L)

n——稀释次数

α——每次浓缩后浆料体积量(m3)

b——每次稀释时稀释水加入量(m3)

【例3】 某浆池中浆料体积为10m3,残碱总量为4kg,终点残碱量0.04kg,采取级数洗涤法洗涤。其浓缩时抽滤黑液量为3.5m3,稀释时浆池液位至12m3,试计算洗涤的次数及用水量。

解:稀释前浆中残碱量g0=4-4×=2.6(kg)

稀释前浆中残碱浓度x0===0.4(kg/m3)

终点时残碱的浓度xn===0.006(kg/m3)

浓缩后浆料体积量α=10-3.5=6.5(m3)

稀释时稀释水加入量b=12-6.5=5.5(m3)

【讨论】 通过计算比较,级数洗涤法最节省,且由于大稀释引起残碱的大浓度差,有利于其向外扩散。为此比较优越。只是操作稍微麻烦一些,另外,加水时应在搅拌器之前洗浆后加入,效果会更好。

随便看

 

离鸟网收录3541549条中英文词条,其功能与新华字典、现代汉语词典、牛津高阶英汉词典等各类中英文词典类似,基本涵盖了全部常用中英文字词句的读音、释义及用法,是语言学习和写作的有利工具。

 

Copyright © 2004-2024 vtrois.com All Rights Reserved
更新时间:2026/4/18 6:01:18