网站首页  词典首页


请输入您要查询的字词:

 

字词 不变权数指数
类别 中英文字词句释义及详细解析
释义 不变权数指数

在指数数列中,按照固定的权数所算出的各个时期的指数。

不变权数指数在其定基指数和环比指数之间有换算上的方便。即:各环比指数的连乘积等于定基指数;相邻两定基指数相除的商等于环比指数。如欲更改指数基期,可用新定为基期的那年原来的定基指数去除各年原来的定基指数,即得基期更改后各年的定基指数。现举例说明于下:

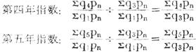
表列各环比指数连乘即得相应的定基指数:

相邻两定基指数相除可得相应的环比指数:

改欲将表列资料改为以第三年为基期,则各年的指数为:

随便看

 

离鸟网收录3541549条中英文词条,其功能与新华字典、现代汉语词典、牛津高阶英汉词典等各类中英文词典类似,基本涵盖了全部常用中英文字词句的读音、释义及用法,是语言学习和写作的有利工具。

 

Copyright © 2004-2024 vtrois.com All Rights Reserved
更新时间:2026/4/18 7:16:22