上辊为中固辊或芯辊而下辊为普通结构辊的搭配计算
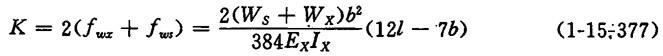
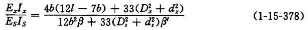
【说明】 此种搭配方式,结构上并不复杂,也不会给操作上带来新的困难,用合理的中高度保证了压区内的均匀压力分布。但是用芯轴辊作为上辊时,虽有挠度小及必需的上下辊刚度比值小的优点,但因要定期润滑和更换轴承而使用上比较复杂,故较少采用。 1.网宽大于2000mm的纸机的搭配计算 (1)上下辊刚度比的计算 【公式】  式中 ExIx——下辊刚度(N·m2) EsIs——上辊刚度(N·m2) l——辊筒轴承中心距(m) b——辊面宽度(m) β——弯矩挠度比,对于中固辊,β=0.45~0.5;对于芯轴辊,β=0.85~0.95; 计算见下 (2)当中高度与线压无关时上下辊总中高度的计算 【公式】  式中 fwx——下辊辊面两端相对于其中心横截面的弯矩挠度(m) fws——上辊辊面两端相对于其中心横截面的弯矩挠度(m) Ws、Wx——上、下辊筒重量(N) 其它同上 2.网宽小于2000mm的纸机的搭配计算 (1)上下辊刚度比的计算 【公式】  式中 ds、dx——分别为上、下辊壳的内径(m) β′——中固辊的剪力挠度比 其它同上 (2)与线压变化无关的必需中高度的计算 【公式】  式中 fwJx、fwJx——上、上辊的弯矩、剪切总挠度(m) Gx——下辊材料的剪切弹性模数(Pa) Fx——下辊辊壳的截面积(m2) 其它同上 |