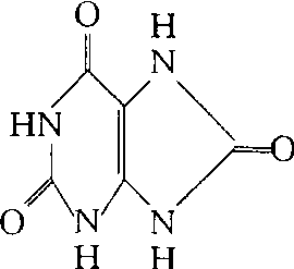
尿酸uric acid2,6,8-三氧嘌呤。嘌呤的一种衍生物。结构式如下。白色结晶,难溶于水,呈弱酸性。是腺嘌呤和鸟嘌呤在生物体内分解产生的中间物或最终产物。腺嘌呤和鸟嘌呤经脱氨氧化成为黄嘌呤,后者氧化便生成尿酸,若继续氧化则转变为尿囊素。是人类、灵长类、鸟类、某些爬虫类和大多数昆虫体内嘌呤分解的最终产物,存在于尿液或粪便中,排泄发生障碍时,可在关节中沉淀而引起关节痛。也是植物体内嘌呤分解的中间物。 
尿酸uric acid又叫2,6,8-三氧嘌呤,系嘌呤代谢的最终产物。成人血中磷钨酸盐法男为270~490μmol/L,女为138~390μmol/L;尿酸酶法男208~428μmol/L,女为155~357μmol/L。尿酸从尿中排出。如果尿酸生成过多,超过在体液中的溶解度,则可形成结晶沉积在软骨中,便发生痛风症;由于某些酶缺乏亦可发生尿酸过多而发生一种自毁容貌症;由于肾功能衰竭,不能将正常量尿酸从尿中排出,则血中浓度亦可增高,并可引起尿毒症等。临床检查血中尿酸对诊断上述疾病有一定意义。 尿酸一种嘌呤类化合物。人体内嘌呤类化合物分解代谢的最终产物。在鸟类和爬行类则为氮代谢的最终产物。通常尿液排出的尿酸量是恒定的。 尿酸uric acid是嘌呤在体内分解代谢的终产物。 尿酸uric acid
尿酸uri acid |