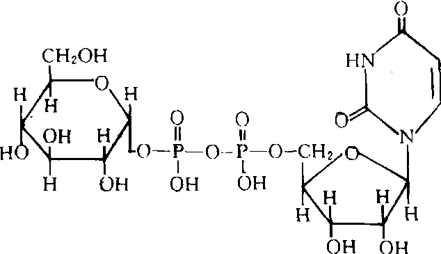
尿苷二磷酸葡萄糖uridine diphosphate glucose一种糖核苷酸。葡萄糖的半缩醛羟基与尿苷二磷酸的末端磷酸基之间去水缩合而成的化合物。缩写符号为UDPG。结构式如下。在体内由尿苷二磷酸葡萄糖焦磷酸化酶催化合成,反应式为:葡萄糖-1-磷酸+尿苷三磷酸⇌尿苷二磷酸葡萄糖+焦磷酸。存在于植物、动物和微生物中,在蔗糖、淀粉、糖原及其他寡糖和多糖合成中作葡萄糖基的供体,亦可转变为尿苷二磷酸半乳糖和尿苷二磷酸葡萄糖醛酸。 
尿苷二磷酸葡萄糖简称“UDPG”。生物合成糖原时作为葡萄糖基给体的核苷磷酸糖。 |