网站首页  词典首页


请输入您要查询的字词:

 

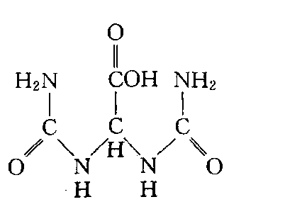
字词 尿囊酸
类别 中英文字词句释义及详细解析
释义

尿囊酸allantoic acid

二脲基醋酸。结构式如下。是某些硬骨鱼体内嘌呤分解的最终产物。也是大多数鱼类和两栖类动物体内嘌呤分解的中间物,从尿囊素水解生成,继续水解则转变为尿素和乙醛酸。也存在于高等植物体内,是氮素贮存和运输的一种形式。

随便看

 

离鸟网收录3541549条中英文词条,其功能与新华字典、现代汉语词典、牛津高阶英汉词典等各类中英文词典类似,基本涵盖了全部常用中英文字词句的读音、释义及用法,是语言学习和写作的有利工具。

 

Copyright © 2004-2024 vtrois.com All Rights Reserved
更新时间:2026/4/17 18:28:14