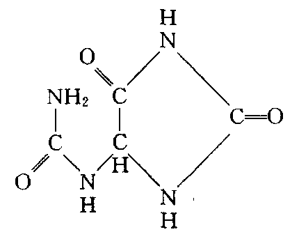
尿囊素allantoin一种含氮杂环化合物。化学名称为1-脲基间二氮杂茂烷二酮-〔2,4〕。结构式如下。是哺乳动物(灵长类除外)和某些爬行动物体内嘌呤分解的最终产物。也是鱼类和两栖类动物体内嘌呤分解的中间物,从尿酸氧化分解生成,再水解则转变为尿囊酸。也存在于高等植物体内,作为氮素贮存和运输的一种形式。 
尿囊素allantoin系存在于牛尿囊液中及紫草科植物根中的一种药用成分。现为人工合成。本品能促进消化道溃疡上皮组织修复,使溃疡愈合。可用于胃及十二指肠溃疡;也可用于皮肤科、局部化脓性创伤等。制剂为复方尿囊素,口服1日3次,1次30~120mg,饭时服。 |