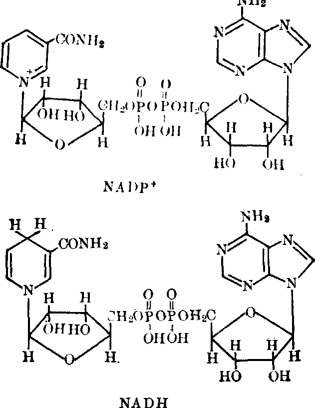
尼克酰胺腺嘌呤二核苷酸
尼克酰胺腺嘌呤二核苷酸(NAD,曾称DPN及CoI)是许多不需氧脱氢酶的辅酶,其分子中尼克酰胺为吡啶衍生物。NAD有氧化型(NAD+)和还原型(NADH)两种,其结构式如下

NAD+凭借非共价键与酶蛋白疏松结合,可分可合,在催化反应中接受电子及氢原子。NAD
+分子中的尼克酰胺在生理pH条件下,其吡啶氮为五价,能可逆地接受电子而成三价,吡啶4位碳原子也比较活泼,能可逆地加氢还原,因此可将NAD+看作递氢体,但尼克酰胺只接受一个氢原子及一个电子,而将另一个质子 (H+)留于介质中,常可用下式表示:

还原型作用物,如3磷酸甘油醛、乳酸、苹果酸、异柠檬酸、β羟丁酸、谷氨酸、二氢硫辛酸等,在相应脱氢酶的催化下,产生NADH及H+,在呼吸链中NADH分子中的一个氢原子和一个电子以及介质中的一个质子经一系列递氢体传递,最后与1/2O2结合成H2O。

在动物肝细胞中,60%NAD存在于线粒体中,40%存在于胞浆中。
NAD+因含有腺嘌呤核苷酸,所以在260nm波长处有一吸收峰,当NAD
+还原成NADH后,在340nm波长处可出现一个新的吸收峰,利用这性质不仅可鉴定NADH,还可测出其数量,从而测定很多不需氧脱氢酶的活性。
在细菌中,NAD+是从尼克酸合成的,在哺乳动物中可利用尼克酰胺直接合成尼克酰胺单核苷酸 (NMN
+),后者再与ATP反应,而生成NAD+。
尼克酰胺+1,焦磷酸5磷酸核糖—→NMN
++焦磷酸NMN
++ATP—→NAD
++焦磷酸
不同组织或不同细胞器中NAD
+和NADH的含量均不相同,现将大鼠各组织中辅酶Ⅰ的两型含量列表于下:
大鼠各组织中NAD的含量(nmol/g)
| | 肝 | 脑 | 心 | 骨 胳 肌 | 肾 | 肾 皮 质 | 肾 髓 质 | 可溶 部分 | 肝 线粒 体 | 微粒 体 | 核 |
NAD+ NADH | 600 195 | 200 160 | 460 260 | 510 70 | 370 322 | 500 225 | 260 100 | 361 36 | 28 4 | 13 2 | 4 1 |