网站首页  词典首页


请输入您要查询的字词:

 

字词 三通阀控缸
类别 中英文字词句释义及详细解析
释义 三通阀控缸

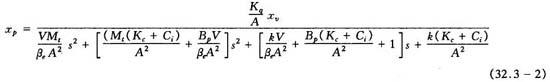
图32.3-2是三通阀控缸的液压回路图。其传递函数为

式中 A——单杆缸无杆腔的活塞面积;

V——无杆腔的等效容积。

其余参数的意义见式(32.3-1)。

随便看

 

离鸟网收录3541549条中英文词条,其功能与新华字典、现代汉语词典、牛津高阶英汉词典等各类中英文词典类似,基本涵盖了全部常用中英文字词句的读音、释义及用法,是语言学习和写作的有利工具。

 

Copyright © 2004-2024 vtrois.com All Rights Reserved
更新时间:2026/4/20 22:05:20