网站首页  词典首页


请输入您要查询的字词:

 

字词 三角形的内切圆
类别 中英文字词句释义及详细解析
释义 三角形的内切圆

和三角形三条边都相切的圆叫做三角形的内切圆.内切圆的圆心是三角形三条角平分线的交点,叫做三角形的内心.

注意 1.三角形的内切圆只有一个.

2.锐角三角形、直角三角形、钝角三角形的内心都在三角形的内部.

例1 已知AB是☉O的切线,在下列给出的条件中,能判定AB⊥CD的是( ).

A.AB与☉O相切于点C,CD是直径

B.CD经过圆心O

C.CD是直径

D.AB与☉O相切于点C

答 A.

[解析] 圆的切线有无数条,直径也有无数条,但给定一条切线后,它仅仅与过这个切点的半径(直径)垂直.

例2 三角形的内心在它的一条高上,这个三角形一定是( ).

A.等腰三角形 B.等边三角形

C.直角三角形 D.等腰直角三角形

答 A.

[解析] 根据等腰三角形三线合一,底边上的高即为顶角的角平分线,三角形内心本来是在三角形内角平分线上,既然在它的一条高上,满足等腰三角形即可,若是在三条高上则选B.

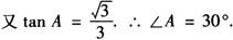
例3 如图,D是☉O直径AB延长线上一点,PD切☉O于P点,,求∠PDA.

解 连结OP.

∵PD切☉O于P点,∴∠OPD=90°

∵OA=OP,∴∠OPA=30°,

∴∠POD=60°.

在Rt△OPD中,∠PDA=30°.

例4 如图:AB为☉O的直径,AB=AC,BC与☉O相交于D点,DE⊥AC垂足为E,求证:DE是☉O的切线.

证明 连接OD∵AB=AC,

∴∠B=∠C.

∵OB=OD,∴∠B=∠1.∴∠1=∠C.

∴OD∥AC.∵DE⊥AC,

∴DE⊥OD.∵OD为半径,

∴DE为☉O切线.

例5 已知:如图直线l与☉O相切于点A,P是l上一点,以P为圆心PA为半径的☉P与☉O相交于点B,求证:PB是☉O的切线.

证明 连接OA、OB、OP.

∵l与☉O相切于点A,

∴OA⊥l.∴∠OAP=90°.

又∵OA=OB,PA=PB,OP=OP.

∴△OAP≌△OBP.

∴∠OBP=∠OAP=90°.

∴PB⊥OB.

∵OB为☉O半径,

∴PB是☉O的切线.

例6 如图AB是☉O的直径,☉O过AC的中点D,DE⊥BC,垂足为E.

由这些条件,你能推出哪些正确结论?(要求:不再标注其他字母,找结论的过程中所连辅助线不能出现在结论中,不写推理过程,写出4个结论即可).

答 (下列结论可供选择)

(1)DE是☉O的切线.

(2)AB=BC.

(3)∠A=∠C.

(4)DE2=BE·CE.

(5)CD2=CE·CB.

(6)∠C+∠CDE=90°.

(7)CE2+DE2=CD2

随便看

 

离鸟网收录3541549条中英文词条,其功能与新华字典、现代汉语词典、牛津高阶英汉词典等各类中英文词典类似,基本涵盖了全部常用中英文字词句的读音、释义及用法,是语言学习和写作的有利工具。

 

Copyright © 2004-2024 vtrois.com All Rights Reserved
更新时间:2026/4/21 17:48:25