网站首页  词典首页


请输入您要查询的字词:

 

字词 三角形
类别 中英文字词句释义及详细解析
释义 三角形

2.3.1 正弦定理(a、b、c为△ABC的三条边,A、B、C为三个角,R为三角形外接圆半径)

2.3.2 余弦定理

a2=b2+c2-2bccosA

b2=c2+a2-2cacosB

c2=a2+b2-2abcosC

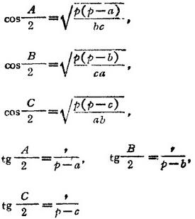
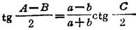
2.3.3 正切定理

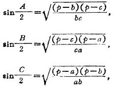
2.3.4 半角与边长的关系公式

式中

,为△ABC的内切圆半径,其中的S为△ABC的面积。

2.3.5 外接圆半径

随便看

 

离鸟网收录3541549条中英文词条,其功能与新华字典、现代汉语词典、牛津高阶英汉词典等各类中英文词典类似,基本涵盖了全部常用中英文字词句的读音、释义及用法,是语言学习和写作的有利工具。

 

Copyright © 2004-2024 vtrois.com All Rights Reserved
更新时间:2026/4/18 4:59:28