网站首页  词典首页


请输入您要查询的字词:

 

字词 三角函数预测法
类别 中英文字词句释义及详细解析
释义 三角函数预测法

通过三角函数关系来描述周期性经济变量的运动规律,并进行各种预测的一种方法。

其数学模型的基本形式如下:

实际应用中,由于不可能用无穷多个三角函数进行叠加,因此对于观察值的时间序列,只能用有限个三角函数的叠加去近似。通常,如果有N个观察值y1,y2,…,yN,若N是奇数时,就用个三角函数去近似yt;若N是偶数时,就用个三角函数去近似yt。即:

式中,T1为三角函数的周期,m)为待估参数。

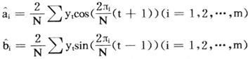
式中,为利用四归方程计算,可利用下式求出:

利用模型预测时,只需将时间变量代入方程即可。

随便看

 

离鸟网收录3541549条中英文词条,其功能与新华字典、现代汉语词典、牛津高阶英汉词典等各类中英文词典类似,基本涵盖了全部常用中英文字词句的读音、释义及用法,是语言学习和写作的有利工具。

 

Copyright © 2004-2024 vtrois.com All Rights Reserved
更新时间:2026/4/17 19:09:39