网站首页  词典首页


请输入您要查询的字词:

 

字词 三角函数的和差化积公式
类别 中英文字词句释义及详细解析
释义 三角函数的和差化积公式

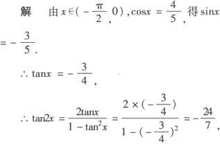
例1 已知x∈(,0),cosx=4/5,则tan2x=( ).

A. B.

C. D.

分析 本题考查了同角三角函数的基本关系及二倍角的公式.

故选D.

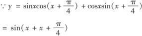
例2 函数 的最小正周期T=__.

分析 本题考查了两角和的正弦公式及y=Asin(ω+φ)的最小正周期公式.

例3 已知α,β为锐角,,sin(α+β)=3/5,求cosβ.

分析 本题考查对两角和差的三角函数公式的灵活变形运用以及求值问题中的结果验证问题.

∴sinα

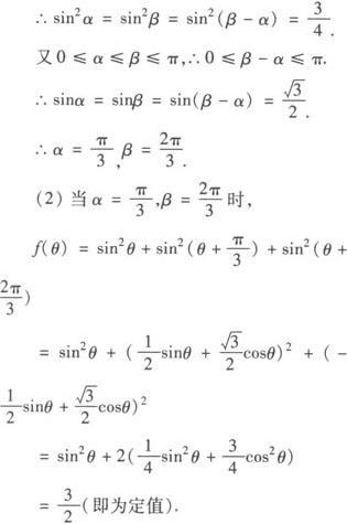
例4 已知f(θ)=sin2θ+sin2(θ+α)+sin2(θ+β),其中α,β是适合0≤α≤β≤π的常数,试问α、β为何值时,f(θ)与θ取值无关,为定值.

分析 这是一个探索性问题,它应该引起我们的关注,因为探索性问题在高考中越来越体现其考查能力的特征.

解 (1)假设f(θ)=sin2θ+sin2(θ+α)+sin2(θ+β)与θ取值无关,为定值.

因而sin2α+sin2β=sin2α+sin2(β—α)

=sin2β+sin2(α—β)=1+cos2α+cos2β.

故当时,f(θ)为与θ无关的定值.

评注 本题的解法有许多,建议同学们从多角度、全方位的思维领域进行思考,充分挖掘该题的探索性、开放性、培养我们思维的独创性、新颖性和深刻性.

随便看

 

离鸟网收录3541549条中英文词条,其功能与新华字典、现代汉语词典、牛津高阶英汉词典等各类中英文词典类似,基本涵盖了全部常用中英文字词句的读音、释义及用法,是语言学习和写作的有利工具。

 

Copyright © 2004-2024 vtrois.com All Rights Reserved
更新时间:2026/4/19 6:19:03