网站首页  词典首页


请输入您要查询的字词:

 

字词 三角函数式的求值
类别 中英文字词句释义及详细解析
释义 三角函数式的求值

三角函数式求值的三种类型

a.给角求值

b.给值求值

c.给值求角

例1 若是方程2cos(x+α)=1的解α∈(0,2π),则α=( ).

分析 本题考查了给值求角的问题.

解 依题意可知2.

由α∈(0,2π)知

观察y=cosx的图象可知为所求.

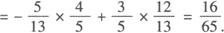
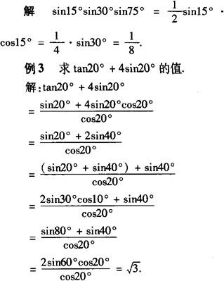
例2 sin15°sin30°sin75°的值等于( ).

分析 熟悉sin15°与sin75°值的同学可以直接利用

算得结果为1/8,故选C.但是灵活的应用公式巧算则更简捷.

评注 本题上面解法关键有两步,第一步是tan20°化成正、余弦;第二步把2sin40°拆成sin40°+sin40°.

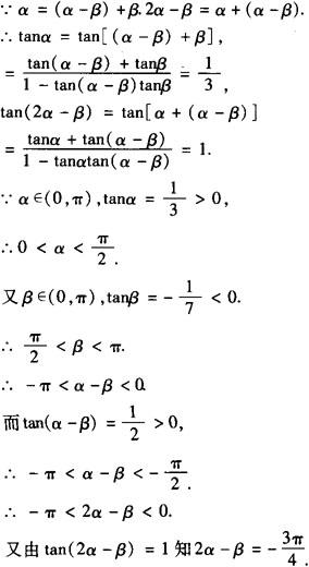
例3 已知tan(α—β)=1/2tanβ=—1/7,且α、β∈(0,π)求2α—β的值.

分析 先找到所求的角与已知函数中的角的联系,再用公式求出所求角的三角函数值,再根据角的范围求出所求角.

例4 在△ABC中,已知,sinB=3/5,求cosC的值

分析 三角形中的三角函数求值问题不能忘了隐形条件,A+B+C=π,A、B、C∈(0,π).

评注 本题如若不弄清B的范围将会产生两个结果.

随便看

 

离鸟网收录3541549条中英文词条,其功能与新华字典、现代汉语词典、牛津高阶英汉词典等各类中英文词典类似,基本涵盖了全部常用中英文字词句的读音、释义及用法,是语言学习和写作的有利工具。

 

Copyright © 2004-2024 vtrois.com All Rights Reserved
更新时间:2026/4/18 2:39:33