网站首页  词典首页


请输入您要查询的字词:

 

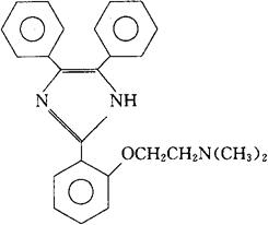
字词 三苯格雷
类别 中英文字词句释义及详细解析
释义 三苯格雷

C25H25N3O=383.49

CAS-84203-09-8

2-[2-(4,5-二苯基-1H-咪唑-2-基)苯氧]-N,N-二甲基乙胺。

Ethanamine,2-[2-(4,5-diphenyl-1H-imidazol-2-yl)phenoxy]-N,N-dimethyl-.

2-[邻-[2-(二甲氨基)乙氧]苯基]-4,5-二苯咪唑。

2-[o-[2-(Dimethylamino)ethoxy]phenyl]-4,5-diphenylimidazole.

抗凝药,抗血栓药。

曲非那格。

Trifenagrel,BW 325U.

INN,USAN.

随便看

 

离鸟网收录3541549条中英文词条,其功能与新华字典、现代汉语词典、牛津高阶英汉词典等各类中英文词典类似,基本涵盖了全部常用中英文字词句的读音、释义及用法,是语言学习和写作的有利工具。

 

Copyright © 2004-2024 vtrois.com All Rights Reserved
更新时间:2026/4/19 9:18:08