网站首页  词典首页


请输入您要查询的字词:

 

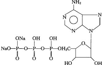
字词 三磷酸腺苷钠[中]
类别 中英文字词句释义及详细解析
释义 三磷酸腺苷钠[中]

C10H14N5Na2O13P3=551.19

腺嘌呤核苷-5′-三磷酸酯二钠盐。

Adenosine-5′-triphosphoric acid disodium salt.

辅酶类药。用于进行性肌萎缩、脑溢血后遗症、心肌疾患及肝炎等。

三磷酸腺苷二钠,腺苷三磷酸二钠。

Adenosine Sodium Triphosphate,Atriphos,ATP2Na.

注射用三磷酸腺苷钠,三磷酸腺苷二钠注射液。

随便看

 

离鸟网收录3541549条中英文词条,其功能与新华字典、现代汉语词典、牛津高阶英汉词典等各类中英文词典类似,基本涵盖了全部常用中英文字词句的读音、释义及用法,是语言学习和写作的有利工具。

 

Copyright © 2004-2024 vtrois.com All Rights Reserved
更新时间:2026/4/19 14:23:00