网站首页  词典首页


请输入您要查询的字词:

 

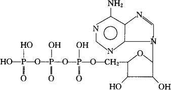
字词 三磷酸腺苷
类别 中英文字词句释义及详细解析
释义 三磷酸腺苷

C10H16N5O13P3=507.21

CAS-56-65-5

5′-三磷酸酯腺嘌呤核苷。

Adenosine-5′-triphosphoric acid.

辅酶类药。用于进行性肌肉萎缩、脑溢血后遗症、心功能不全、心肌疾患及肝炎等。

三磷酸腺甙,三磷腺苷,腺三磷。

Adenosine Triphosphate,ATP,Atriphos,Striadyne,Triadenyl,Trphosaden.

三磷酸腺苷钠注射液。

MI.

随便看

 

离鸟网收录3541549条中英文词条,其功能与新华字典、现代汉语词典、牛津高阶英汉词典等各类中英文词典类似,基本涵盖了全部常用中英文字词句的读音、释义及用法,是语言学习和写作的有利工具。

 

Copyright © 2004-2024 vtrois.com All Rights Reserved
更新时间:2026/4/20 3:12:27