三砂糖膏分蜜前加水量的确定
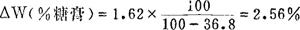
为了把助晶完毕时的三砂糖膏由过饱和变成饱和,除上面介绍的提温方法外,也可用加水法。两法都能起到降低粘度的作用。 设助晶完毕时每100公斤过饱和晶间蜜(锤度B,纯度P)加水△W公斤后达到饱和;这时,饱和蜜的溶解度是:  已测出与晶间蜜(也是废蜜)饱和系数α有关的常数m和b,由纯糖溶液溶解度表查出在此晶间蜜温度下的纯糖溶解度H0,则加水后此不纯晶间蜜中糖分溶解度为:  以上两式相等;简化后得加水量为  或记为:  另按前述方法求出三砂糖膏重量结晶率(K)后,即可计算加水量对糖膏的重量百分率:  实际加水量宜比计算值稍少一些。 例如:已测得三砂糖膏(锤度92,纯度76)晶间蜜(锤度85,纯度60)的常数m为0.220,b为0.805,此糖膏分蜜前温度45℃时的纯糖溶解度(H0)为2.486,则加水到饱和时的加水量为: △W(%晶间蜜)  另算出三砂膏重量结晶率为36.8%,则  可加水2.5%(对三砂糖膏重)以下,而不致引起晶粒溶解。 |