网站首页  词典首页


请输入您要查询的字词:

 

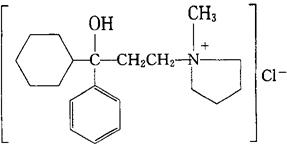
字词 三环氯铵
类别 中英文字词句释义及详细解析
释义 三环氯铵

C20H32ClNO=337.93

CAS-3818-88-0

氯化1-(3-环己基-3-羟-3-苯丙基)-1-甲基吡咯烷铵。

1-(3-Cyclohexyl-3-hydroxy-3-phenylpropyl)-1-methylpyrrolidinium chloride.

抗胆碱药。

氯三环胺醇。

Tricyclamol Chloride,Tricoloid Chloride,Elorine,Lerging,Tricoloid,Tricyvagol,Aconil,Vagosin,Procyclidine Methyl Chloride.

INN,BAN,BP,DCF,NFN,USAN,MI.

随便看

 

离鸟网收录3541549条中英文词条,其功能与新华字典、现代汉语词典、牛津高阶英汉词典等各类中英文词典类似,基本涵盖了全部常用中英文字词句的读音、释义及用法,是语言学习和写作的有利工具。

 

Copyright © 2004-2024 vtrois.com All Rights Reserved
更新时间:2026/4/20 18:06:45