网站首页  词典首页


请输入您要查询的字词:

 

字词 三点法
类别 中英文字词句释义及详细解析
释义 三点法

统计预测的一种计算简便、效果较好的方法。

它是把时间数列的数据画出散点图,根据其发展趋势分为间隔相等的三段或四段,计算各该段的加权算术平均数作为参数,代入联立方程求得长期趋势方程式。用于外推预测。

当散点图呈现二次抛物线趋势,就有三个参数,可以把时间数列分为间隔相等三段,每段各取3项或5项数值,分别计算三个加权平均数,作为曲线的坐标点,据以计算方程式中的参数值。在数列总项数为N>15时,三点各取5项平均,权数从远到近,加重近期数值在平均数中的作用,分别用1、2、3、4、5加权;在N<15时,三点各取3项平均,权数分别用1、2、3加权。

为了保证三点之间的距离相等,排列总项数应为奇数,如果总项数为偶数,可删去最早期一项。三点法的算式为:

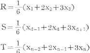
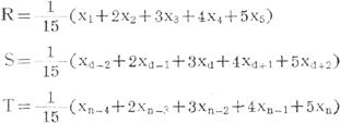
设 R=初期5(或3)项的加权平均数

S=中期5(或3)项的加权平均数

T=近期5(或3)项的加权平均数

N=时间数列总项数(奇数)

5项加权平均为;

3项加权平均为:

上面各式整理后:

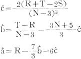
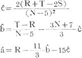
直线方程+ 式中â两个参数的估计值算式为:

5项加权平均式:

3项加权平均式:

二次曲线方程t=t+t2 式中âĉ三个参数估计值算式为:

5项加权平均为:

3项加权平均式:

随便看

 

离鸟网收录3541549条中英文词条,其功能与新华字典、现代汉语词典、牛津高阶英汉词典等各类中英文词典类似,基本涵盖了全部常用中英文字词句的读音、释义及用法,是语言学习和写作的有利工具。

 

Copyright © 2004-2024 vtrois.com All Rights Reserved
更新时间:2026/4/18 22:21:24