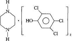
三氯酚哌嗪
C4H10N2·2C6H3Cl3O=481.03 CAS-5714-82-9 2,4,5-三氯苯酚-与哌嗪的复合物(2∶1)。 Phenol,2,4,5-trichloro-,compd.with piperazine(2∶1). 哌嗪与2,4,5三氯苯酚的复合物(1∶2)。 Piperazine ccmpound(1∶2)with 2,4,5-trichlorophenol. 抗蠕虫药。 Triclofenol Piperazine,Ranestol,Cl-416,CN5834-5931B,IN 29-5931B,NSC-77747. INN,BAN,USAN. 
|