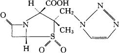
三唑巴坦
C10H12N4O5S=300.29 CAS-89786-04-9 [2S-(2α,3β,5α)]-3-甲基-7-氧代-3-(1H-1,2,3-三唑-1-基甲基)-4-硫杂-1-氮杂双环[3.2.0]庚烷-2-羧酸4,4-二氧化物。 4-Thia-l-azabicyclo[3.2.0]heptane-2-carboxylicacid,3-methyl-7-oxo-3-(1H-1,2,3-triazol-1-ylmethyl)-4,4-dioxide,[2S-(2α,3β,5α)]. (2S,3S,5R)-3-甲基-7-氧代-3-(1H-1,2,3-三唑-1-基甲基)-4-硫杂-1-氮杂双环[3.2.0]庚烷-2-羧酸,4,4-二氧化物。 (2S,3S,5R)-3-Methyl-7-oxo-3-(1H-1,2,3-triazol-lylmethyl)-4-thia-l-azabicyclo[3.2.0]heptane-2-carboxylic acid,4,4-dioxide. β-内酰胺酶抑制剂。 Tazobactam,CL 298,741,YTR-830H. INN,BAN,USAN.  |