三分法
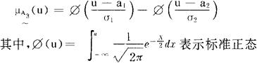
三相模糊统计方法的一种特定方法。 将一个论域分成三个模糊区域,关键在于找到二个分界点。 例如:〔老,中,青〕的划分,在人的年龄集合〔0,200〕上要找到老年与中年的分界点,用§表示。 还要找到中年与青年的分界点,用η表示。 每次试验就确定了一个划分,这个三相划分的分界点就是(§,η)。 这样,我们即可把论域三相模糊统计试验看成是分界点§,η的二组随机试验。用随机试验的方法(数理统计方法)来刻画模糊试验从而确定三相统计隶属函数的间接方法称为三分法。 具体作法是: 将分界点对(§,η)看作是p(§≤η)=1的二组连续随机向量。每一次试验均得一个点对(§0,η0)它意味著一个映射:(实际上是U上的划分)  统计试验的结果由下式求出 是ξ的边缘分布密度。 ,pη(x)是η的边缘分布密度。  当随机变量§,η具有正态分布时: 即:§:N1(a1,σ1),η:N2(a2,σ2) 此处,a1,a2,σ1,σ2分别表示期望与方差。 这时   分布函数。 |