网站首页  词典首页


请输入您要查询的字词:

 

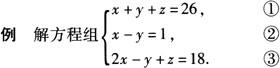
字词 三元一次方程组的解法步骤
类别 中英文字词句释义及详细解析
释义 三元一次方程组的解法步骤

三元一次方程组二元一次方程组一元一次方程.

…消元转化成二元一次方程组

…消元转化成一元一次方程

把x=10代入❹ 得z=7.

把x=10代入❷ 得y=9.

随便看

 

离鸟网收录3541549条中英文词条,其功能与新华字典、现代汉语词典、牛津高阶英汉词典等各类中英文词典类似,基本涵盖了全部常用中英文字词句的读音、释义及用法,是语言学习和写作的有利工具。

 

Copyright © 2004-2024 vtrois.com All Rights Reserved
更新时间:2026/4/18 15:54:02